精英家教网 > 高中数学 > 题目详情
下面是关于复数的四个命题:
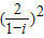
p1:|z|=2,
p2:z2=2i,
p3:z的共轭复数为-1+i,
p4:z的虚部为1.
其中真命题为( )
A.p2,p3
B.p1,p2
C.p2,p4
D.p3,p4
【答案】分析:求出|z|,可判断p1的真假;化简z2,可判断p2的真假;,可得z的共轭复数为1-i,z的虚部为1,由此可得结论.
解答:解:p1:|z|==,故命题为假;
p2:z2===2i,故命题为真;
,∴z的共轭复数为1-i,故命题p3为假;
,∴p4:z的虚部为1,故命题为真.
故真命题为p2,p4
故选B.
点评:本题考查命题真假的判定,考查复数知识,考查学生的计算能力,属于基础题.
练习册系列答案
相关习题

科目:高中数学 来源: 题型:

下面是关于复数的四个命题:其中的真命题为(      )

               的共轭复数为   的虚部为

                                        

查看答案和解析>>

科目:高中数学 来源:2013-2014学年福建莆田一中高三上学期第一学段考试文科数学试卷(解析版) 题型:选择题

下面是关于复数的四个命题:其中正确的命题是 (      )

;  ②;   ③;  ④ 的虚部为-1.

A. ②③       B. ①②          C. ②④          D. ③④

 

查看答案和解析>>

科目:高中数学 来源:2014届河南郑州第四中学高二下学期期中考试理科数学试卷(解析版) 题型:选择题

下面是关于复数的四个命题,其中真命题为

A.z的虚部为                       B.z为纯虚数

C.                              D.

 

查看答案和解析>>

科目:高中数学 来源:2012-2013学年河南省邓州一高分校高三上学期第四次周考文科数学试卷(解析版) 题型:选择题

下面是关于复数的四个命题(   )

;                 ; 

:的共轭复数为;     的虚部为

其中的真命题为

A.,           B.,           C.         D.,

 

查看答案和解析>>

科目:高中数学 来源:2014届河南安阳一中高二第一次阶段测试数学试卷(奥数班)(解析版) 题型:选择题

下面是关于复数的四个命题,其中真命题为 (   )

:,                           

的共轭复数为                的虚部为

A.        B.       C.         D.

 

查看答案和解析>>

同步练习册答案