精英家教网 > 高中数学 > 题目详情
已知函数f(x)在R上有定义,对任何实数a>0和任何实数x,都有f(ax)=af(x)
(Ⅰ)证明f(0)=0;
(Ⅱ)证明其中k和h均为常数;
(Ⅲ)当(Ⅱ)中的k>0时,设g(x)=+f(x)(x>0),讨论g(x)在(0,+∞)内的单调性并求极值.
【答案】分析:(1)令x=0代入即可得到答案.
(2)分别令a=x和a=-x代入整理即可得到答案.
(3)先表示出函数g(x),然后对其进行求导,导数大于0时单调递增,导数小于0时单调递减,导数等于0时函数取到极值点.
解答:证明(Ⅰ)令x=0,则f(0)=af(0),
∵a>0,
∴f(0)=0.

(Ⅱ)①令x=a,
∵a>0,
∴x>0,则f(x2)=xf(x).
假设x≥0时,f(x)=kx(k∈R),则f(x2)=kx2,而xf(x)=x•kx=kx2
∴f(x2)=xf(x),即f(x)=kx成立.
②令x=-a,
∵a>0,
∴x<0,f(-x2)=-xf(x)
假设x<0时,f(x)=hx(h∈R),则f(-x2)=-hx2,而-xf(x)=-x•hx=-hx2
∴f(-x2)=-xf(x),即f(x)=hx成立.
成立.

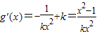
(Ⅲ)当x>0时,
令g'(x)=0,得x=1或x=-1;
当x∈(0,1)时,g'(x)<0,∴g(x)是单调递减函数;
当x∈[1,+∞)时,g'(x)>0,∴g(x)是单调递增函数;
所以当x=1时,函数g(x)在(0,+∞)内取得极小值,极小值为
点评:本题主要考查函数的导数有关问题,当导数大于0时函数单调递增,当导数小于0时函数单调递减,当导数等于0时函数取极值点.
练习册系列答案
相关习题

科目:高中数学 来源: 题型:

1、已知函数f(x)在R上满足f(x)=2f(2-x)-x2+8x-8,则曲线y=f(x)在点(1,f(1))处的切线方程是(  )

查看答案和解析>>

科目:高中数学 来源: 题型:

已知函数f(x)在R上满足y=f(x)=2f(2-x)+ex-1+x2,则曲线y=f(x)在点(1,f(1))处的切线方程是(  )
A、2x-y-1=0B、x-y-3=0C、3x-y-2=0D、2x+y-3=0

查看答案和解析>>

科目:高中数学 来源: 题型:

已知函数f(x)在R上满足2f(x)+f(1-x)=3x2-2x+1,则曲线y=f(x)在点(1,f(1))处的切线方程是
2x-y-1=0
2x-y-1=0

查看答案和解析>>

科目:高中数学 来源: 题型:

已知函数f(x)在R上有定义,对任意实数a>0和任意实数x都有f(ax)=a﹒f(x).
(1)证明:f(0)=0
(2)若f(1)=1,求g(x)=
1f(x)
+f(x).(x>0)
的极值.

查看答案和解析>>

科目:高中数学 来源: 题型:

已知函数f(x)在R上可导,函数F(x)=f(x2-4)+f(4-x2),则F′(2)=
 

查看答案和解析>>

同步练习册答案