精英家教网 > 高中数学 > 题目详情
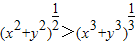
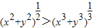
已知x>0,y>0.用分析法证明:
【答案】分析:由x>0,y>0,知要证,只要证(x2+y23>(x3+y32,即证3x2+3y2>2xy就可以.
解答:证明:∵x>0,y>0.∴要证
只要证(x2+y23>(x3+y32(4分)
即证3x2+3y2>2xy(*)
∵3x2+3y2-2xy=2(x2+y2)+(x-y)2>0
∴(*)成立.故原不等式成立.(9分)
点评:本题考查不等式的证明,解题时要注意利用分析法进行证明.
练习册系列答案
相关习题

科目:高中数学 来源: 题型:

已知x>0,y>0且x+y=xy,则x+y的取值范围是(  )

查看答案和解析>>

科目:高中数学 来源: 题型:013

(2007宁夏,7)已知x0y0xaby成等差数列,xcdy成等比数列,则的最小值是

[  ]

A0

B1

C2

D4

查看答案和解析>>

科目:高中数学 来源:安徽省合肥八中2012届高三第三次段考数学理科试题 题型:013

已知x>0,y>0,x,a,b,y成等差数列,x,c,d,y成等比数列,则的最小值是

[  ]
A.

0

B.

1

C.

2

D.

4

查看答案和解析>>

科目:高中数学 来源:2014届江西省高一下学期第7周周练数学试卷(解析版) 题型:选择题

已知x>0,y>0,x,a,b,y成等差数列,x,c,d,y成等比数列,则的最小值是(  ) A.0  B.1  C.2  D.4

 

查看答案和解析>>

科目:高中数学 来源: 题型:单选题

已知集合M={(x,y)|x+y=1},映射f:M→N,在f作用下点(x,y)的象是(2x,2y),则集合N=


  1. A.
    {(x,y)|x+y=2,x>0,y>0}
  2. B.
    {(x,y)|xy=1,x>0,y>0}
  3. C.
    {(x,y)|xy=2,x<0,y<0}
  4. D.
    {(x,y)|xy=2,x>0,y>0}

查看答案和解析>>

同步练习册答案