精英家教网 > 高中数学 > 题目详情
已知函数是奇函数,
(1)求k的值;
(2)在(1)的条件下判断f(x)在(1,+∞)上的单调性,并运用单调性的定义予以证明.
【答案】分析:(1)由已知中函数是奇函数,根据奇函数的定义,我们可构造一个关于k的方程,解方程即可得到答案.但由于对数要求真数部分大于0,故还要对k值进行判断,以去除增根.
(2)利用定义法(作差法),任取x1,x2∈(1,+∞),且x1<x2,确定f(x1)-f(x2)的符号,即可根据单调性的定义得到结论.
解答:解:(1)f(x)是奇函数,则f(-x)=-f(x).
由f(-x)=-f(x)⇒1-k2x2=1-x2?k2=1?k=1或k=-1.(2分)
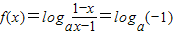
当k=1时,,这与题设矛盾,
当k=-1时,为奇函数,满足题设条件.(4分)
(2)在(1)的条件下,在(1,+∞)上是减函数,证明如下:
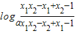
设x1,x2∈(1,+∞),且x1<x2,则=,(6分)
∵x2>x1>1∴x1x2-x1+x2-1>x1x2-x2+x1-1>0,
,(7分)
又a>1,∴f(x1)-f(x2)>loga1=0
即f(x1)>f(x2),∴f(x)在(1,+∞)上是减函数.(8分)
点评:本题考查的知识点是奇函数、函数单调性的判断与证明,对数运算性质,是必须一难点的集中考查,熟练掌握函数单调性、奇偶性的定义及对数的运算性质是解答的关键.
练习册系列答案
相关习题

科目:高中数学 来源: 题型:

已知函数f(x)=loga
x+1
x-1
,(a>0,且a≠1)
(Ⅰ)求函数的定义域,并证明f(x)=loga
x+1
x-1
在定义域上是奇函数;
(Ⅱ)对于x∈[2,4]f(x)=loga
x+1
x-1
>loga
m
(x-1)2(7-x)
恒成立,求m的取值范围;
(Ⅲ)当n≥2,且n∈N*时,试比较af(2)+f(3)+…+f(n)与2n-2的大小.

查看答案和解析>>

科目:高中数学 来源: 题型:

已知函数h(x)=2x,且h(x)=f(x)+g(x),其中f(x)是偶函数,g(x)是奇函数.
(1)求f(x)和g(x)的解析式;
(2)证明:f(x)是(0,+∞)上的单调增函数;
(3)设F(x)=4a•[g(x)+2-x-1]+4x+1,x∈[0,2],讨论F(x)的最大值.

查看答案和解析>>

科目:高中数学 来源: 题型:

给出下列四个命题:
①函数y=|x|与函数y=(
x
)2
表示同一个函数;
②已知函数f(x+1)=x2,则f(e)=e2-1
③已知函数f(x)=4x2+kx+8在区间[5,20]上具有单调性,则实数k的取值范围是(-∞,40]∪[160,+∞)
④已知f(x)、g(x)是定义在R上的两个函数,对任意x、y∈R满足关系式f(x+y)+f(x-y)=2f(x)•g(y),且f(0)=0,但x≠0时f(x)•g(x)≠0则函数f(x)、g(x)都是奇函数.
其中正确命题的个数是(  )

查看答案和解析>>

科目:高中数学 来源:2014届福建省四地六校高三上学期第一次月考理科数学试卷(解析版) 题型:解答题

已知函数    是奇函数.

(1)求实数的值;

(2)若函数在区间上单调递增,求实数的取值范围;

(3)求函数的值域.

 

查看答案和解析>>

科目:高中数学 来源: 题型:

已知函数    是奇函数.

(1)求实数的值;

(2)若函数在区间上单调递增,求实数的取值范围;

(3)求函数的值域

查看答案和解析>>

同步练习册答案