精英家教网 > 高中数学 > 题目详情

设复数z满足|z|=5,且(34i)z在复平面上对应的点在第二、四象限的平分线上,,求复数z和实数m的值.

答案:略
解析:

z=xyi(xyR)

|z|=5,∴

(34i)z=(34i)(xyi)=(3x4y)(4x3y)i对应的点在第二、四象限平分线上,

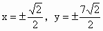
3x4y=4x3y,化简得y=7x

将它代入,得

时,,解得m=02

时,m=0或-2


提示:

解析:本题主要考查复数实部、虚部、模等基本概念.应先将题中信息转化为实数问题解方程即可.


练习册系列答案
相关习题

科目:高中数学 来源: 题型:

(2012•浦东新区一模)设复数z满足|z|=
10
,且(1+2i)z(i是虚数单位)在复平面上对应的点在直线y=x上,求z.

查看答案和解析>>

科目:高中数学 来源: 题型:

设复数z满足z•(1+i)=6-2i,则复数z的共轭复数是(  )?

查看答案和解析>>

科目:高中数学 来源: 题型:

设复数Z满足Z(2-3i)=6+4i (i为虚数单位),则Z的模为(  )

查看答案和解析>>

科目:高中数学 来源: 题型:

设复数z满足z(1-i)=2-4i,则复数z的虚部为
-1
-1

查看答案和解析>>

科目:高中数学 来源: 题型:

设复数z满足z(2-3i)=6+4i(其中i为虚数单位),则复数z的虚部为(  )

查看答案和解析>>

同步练习册答案