精英家教网 > 高中数学 > 题目详情
定义运算符号:“”,这个符号表示若干个数相乘,例如:可将1×2×3×…×n记作,(n∈N*).记Tn=,其中ai为数列{an}(n∈N*)中的第i项.
①若an=3n-2,则T4=   
②若Tn=2n2(n∈N*),则an=   
【答案】分析:①根据an=3n-2,分别令n=1,2,3,4求得a1=1,a2=4,a3=7,a4=10,求得T4的值;②由Tn=2n2,可令n=1,n≥2时讨论求解,n≥2时,an=
解答:解:①∵an=3n-2,∴a1=1,a2=4,a3=7,a4=10,
T4=1×4×7×10=280;
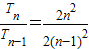
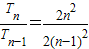
②∵Tn=2n2
∴当n=1时,a1=2,
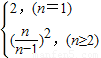
当n≥2时,an==
∴an=
故答案为:280;an=
点评:考查数列的性质和应用,以及知识方法的迁移能力,(与已知数列的前n项和,求数列的通项公式的方法是相同的),体现分类讨论的思想,属中档题.
练习册系列答案
相关习题

科目:高中数学 来源: 题型:

定义运算符号:“”,这个符号表示若干个数相乘,例如:可将1×2×3×…×n记作
n
i=1
i
,(n∈N*).记Tn=
n
i=1
ai
,其中ai为数列{an}(n∈N*)中的第i项.
①若an=3n-2,则T4=
 

②若Tn=2n2(n∈N*),则an=
 

查看答案和解析>>

科目:高中数学 来源: 题型:

定义运算符号“”:表示若干个数相乘,例如:精英家教网=1×2×3×…×n.记Tn=精英家教网,其中ai为数列{an}中的第i项.
(1)若an=2n-1,则T4=
 

(2)若Tn=n2(n∈N*),则an=
 

查看答案和解析>>

科目:高中数学 来源: 题型:

定义运算符号:“π”,这个符号表示若干个数相乘,例如:可将1×2×3×…×n记作,(n∈N*),记Tn=,其中ai为数列{an}(n∈N*)中的第i项.
①若an=3n-2,则T4=
280
280

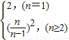
②若Tn=2n2(n∈N*),则an=
2,(n=1)
(
n
n-1
)2,(n≥2)
2,(n=1)
(
n
n-1
)2,(n≥2)

查看答案和解析>>

科目:高中数学 来源:湖南省高考适应性测试数学(文) 题型:填空题

定义运算符号“”:表示若干个数相乘,例如:.记

其中为数列中的第项.

(1)若,则        

(2)若,则       

 

查看答案和解析>>

科目:高中数学 来源:2010-2011学年北京市高三上学期期中考试数学文卷 题型:填空题

定义运算符号:“”,这个符号表示若干个数相乘,例如:可将1×2×3×…×n记作,其中为数列中的第项.

①若,则=     ; ②若            

 

查看答案和解析>>

同步练习册答案