精英家教网 > 高中数学 > 题目详情

已知集合,若,求实数p的取值范围,其中

答案:p>-4
解析:

解:∵

∴方程没有正实数解,故A集合有两种情况:

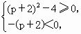
①若,则,即-4p0

②若,则方程有两个非正数解,而且0不是其解,于是有

解得p0

综上p>-4


练习册系列答案
相关习题

科目:高中数学 来源:2011-2012学年辽宁省东北育才学校高一第一次月考数学试卷 题型:解答题

已知集合.
,求实数的取值范围.

查看答案和解析>>

科目:高中数学 来源:2015届山东省高一10月月考数学试卷(解析版) 题型:解答题

(1) 已知集合,若,求实数的值

(2)已知集合A={x|x2-5x-6=0},集合B={x|mx+1=0}若,求实数m组成的集合.

 

查看答案和解析>>

科目:高中数学 来源:2013届广东省高二下学期期末考试理科数学试卷(解析版) 题型:解答题

已知集合,若,求实数的取值范围.

 

查看答案和解析>>

科目:高中数学 来源:2012年人教A版高中数学必修1集合的含义与表示练习卷(解析版) 题型:解答题

已知集合,若,求实数的值。

 

查看答案和解析>>

科目:高中数学 来源:2011年内蒙古高一第一学期期末考试数学理卷 题型:解答题

(本小题满分10分)

已知集合  .

(1)分别求

(2)已知集合,若,求实数的取值集合.

 

查看答案和解析>>

同步练习册答案