精英家教网 > 高中数学 > 题目详情
若等差数列{an}的前5项和S5=25,且a2=3,则a7=( )
A.12
B.13
C.14
D.15
【答案】分析:利用等差数列的通项公式和前n项和公式,结合已知条件列出关于a1,d的方程组,解出a1,d,然后代入通项公式求解即可.
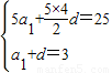
解答:解:设{an}的公差为d,首项为a1,由题意得
,解得
∴a7=1+6×2=13,
故选B.
点评:本题考查了等差数列的通项公式、前n项和公式,熟练应用公式是解题的关键.
练习册系列答案
相关习题

科目:高中数学 来源: 题型:

6、若等差数列{an}的前5项和S5=30,且a2=7,则a7=(  )

查看答案和解析>>

科目:高中数学 来源: 题型:

若等差数列{an}的公差为d,前n项的和为Sn,则数列{
Sn
n
}
为等差数列,公差为
d
2
.类似地,若各项均为正数的等比数列{bn}的公比为q,前n项的积为Tn,则数列{
nTn
}
为等比数列,公比为
 

查看答案和解析>>

科目:高中数学 来源: 题型:

已知f(x)=sin2x,若等差数列{an}的第5项的值为f′(
π6
),则a1a2+a2a9+a9a8+a8a1=
4
4

查看答案和解析>>

科目:高中数学 来源: 题型:

(2013•浙江模拟)若等差数列{an}的前n项和为Sn(n∈N*),若a2:a3=5:2,则S3:S5=
3:2
3:2

查看答案和解析>>

科目:高中数学 来源: 题型:

若等差数列{an}的项数m为奇数,且a1+a3+a5+…+am=52,a2+a4+…+am-1=39则m=(  )

查看答案和解析>>

同步练习册答案