精英家教网 > 高中数学 > 题目详情
设向量满足||=||=|+|,则向量-的夹角为( )
A.60
B.30
C.90
D.120
【答案】分析:将||=||=|+|各项进行平方,进行等量代换后,应得出=-||2,再根据cos<>==,结合特殊角的三角函数值求出夹角.
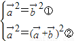
解答:解:∵||=||=|+|,各项进行平方得将②化简得:||2=||2+||2+2||||cosθ
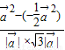
将①代入得:||2=2||2+2||2cosθ,∴cosθ=-,θ=120°,∴=-||2===||
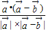
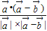
∴cos<>====,∴向量-的夹角为 30°
故选B.
点评:本题考查向量夹角的大小计算,是向量数量积公式的变形应用.此类题目思路固定,但应准确的进行数量积及模的计算.本题需进行等量代换.
练习册系列答案
相关习题

科目:高中数学 来源: 题型:

设向量满足:.以的模为边长构成三角形,则它的边与半径为的圆的公共点个数最多为(    )

A.         B.     C.      D.

查看答案和解析>>

科目:高中数学 来源: 题型:

设向量满足:.以的模为边长构成三角形,则它的边与半径为的圆的公共点个数最多为 (    ) w.w.w.k.s.5.u.c.o.m    

A.         B.     C.      D.

查看答案和解析>>

科目:高中数学 来源: 题型:

设向量满足:.以的模为边长构成三角形,则它的边与半径为的圆的公共点个数最多为(    )

A.           B.4             C.           D.

查看答案和解析>>

科目:高中数学 来源:2014届河北冀州中学高一下学期期中理科数学试卷(解析版) 题型:选择题

设向量满足:.以的模为边长构成三角形,则它的边与半径为的圆的公共点个数最多为(  )

A.3         B.4     C.5      D.6

 

查看答案和解析>>

科目:高中数学 来源:2014届浙江省宁波市高一下期中数学试卷(解析版) 题型:选择题

设向量满足:.以的模为边长构成三角形,则它的边与半径为的圆的公共点个数最多为  (     )

A.           B、4             C.         D.

 

查看答案和解析>>

同步练习册答案