精英家教网 > 高中数学 > 题目详情
如图所示,将一矩形花坛ABCD扩建成一个更大的矩形花坛AMPN,要求M在AB的延长线上,N在AD的延长线上,且对角线MN过C点.已知AB=3米,AD=2米.
(I)设AN=x(单位:米),要使花坛AMPN的面积大于32平方米,求x的取值范围;
(Ⅱ)若x∈[3,4)(单位:米),则当AM,AN的长度分别是多少时,花坛AMPN的面积最大?并求出最大面积.
【答案】分析:先由相似性表示AM,建立四边形AMPN的面积模型,(I)解关于x的不等式;
(II)先对面积函数模型求导,用导数法求最值.
解答:解:由于,则AM=
故SAMPN=AN•AM=(4分)
(1)由SAMPN>32得>32,
因为x>2,所以3x2-32x+64>0,即(3x-8)(x-8)>0
从而
即AN长的取值范围是(8分)
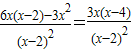
(2)令y=,则y′=(10分)
因为当x∈[3,4)时,y′<0,所以函数y=在[3,4)上为单调递减函数,
从而当x=3时y=取得最大值,即花坛AMPN的面积最大27平方米,
此时AN=3米,AM=9米
点评:本题主要考查用相似性构建边的关系,建立平面图形面积函数模型及导数法解模求最值的能力.
练习册系列答案
相关习题

科目:高中数学 来源:2012-2013学年浙江省绍兴市高一下学期期中考试理科数学试卷(解析版) 题型:解答题

作为绍兴市2013年5.1劳动节系列活动之一的花卉展在镜湖湿地公园举行.现有一占地1800平方米的矩形地块,中间三个矩形设计为花圃(如图),种植有不同品种的观赏花卉,周围则均是宽为1米的赏花小径,设花圃占地面积为平方米,矩形一边的长为米(如图所示)

(1)试将表示为的函数;

(2)问应该如何设计矩形地块的边长,使花圃占地面积取得最大值.

 

查看答案和解析>>

科目:高中数学 来源:2012-2013学年浙江省绍兴市高一下学期期中考试文科数学试卷(解析版) 题型:解答题

作为绍兴市2013年5.1劳动节系列活动之一的花卉展在镜湖湿地公园举行.现有一占地1800平方米的矩形地块,中间三个矩形设计为花圃(如图),种植有不同品种的观赏花卉,周围则均是宽为1米的赏花小径,设花圃占地面积为平方米,矩形一边的长为米(如图所示)

(1)试将表示为的函数;

(2)问应该如何设计矩形地块的边长,使花圃占地面积取得最大值.

 

查看答案和解析>>

同步练习册答案