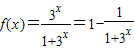
设函数

,若[x]表示不大于x的最大整数,则函数

的值域是
.
【答案】
分析:因为[x]表示不大于x的最大整数,所以只要判断出f(x)和f(-x)的范围即可,转化为求函数的值域问题.
解答:解:

,因为0

,
故f(x)∈(0,1),

.
∴[f(x)-

]=-1

∈(0,1),
∴

,

∴[f(x)-

]+[f(x)+

]=-1或0.
故答案为:{0,-1}
点评:本题为新定义问题,正确理解题意是解题的关键.
练习册系列答案
相关习题
科目:高中数学
来源:2009-2010学年湖南省岳阳一中高三(上)第二次月考数学试卷(理科)(解析版)
题型:填空题
设函数

,若[x]表示不大于x的最大整数,则函数

的值域是
.
查看答案和解析>>
科目:高中数学
来源:2011年高三数学单元检测:函数(2)(解析版)
题型:解答题
设函数

,若[x]表示不大于x的最大整数,则函数

的值域是
.
查看答案和解析>>
科目:高中数学
来源:2010年广东省深圳市高级中学高考数学一模试卷(理科)(解析版)
题型:解答题
设函数

,若[x]表示不大于x的最大整数,则函数

的值域是
.
查看答案和解析>>
科目:高中数学
来源:2010年广东省各地市高考数学模拟试卷分类汇编02:函数与导数(解析版)
题型:解答题
设函数

,若[x]表示不大于x的最大整数,则函数

的值域是
.
查看答案和解析>>
科目:高中数学
来源:2010年浙江省温州市六校高三联考数学试卷(理科)(解析版)
题型:解答题
设函数

,若[x]表示不大于x的最大整数,则函数

的值域是
.
查看答案和解析>>