精英家教网 > 高中数学 > 题目详情
,则( )
A.x>y>z
B.z>y>
C.z>x>y
D.x>z>y
【答案】分析:先将它们适当乘方,将指数化成相同,然后根据幂函数的单调性进行比较即可.
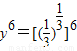
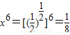
解答:解:对于x,y;
=
,∴x6>y6,根据函数y=x6在(0,+∞)上单调递增
∴x>y
同理,z>x.
∴z>x>y.
故选C.
点评:本题主要考查了幂函数的单调性,解题的关键是将指数化成相同,属于基础题.
练习册系列答案
相关习题

科目:高中数学 来源:2014届河北唐山市高三年级摸底考试理科数学试卷(解析版) 题型:选择题

设函数,则(     )

A.0    B.38    C.56      D.112

 

查看答案和解析>>

科目:高中数学 来源:2010年湖南省益阳市箴言中学高考数学一模试卷(文科)(解析版) 题型:选择题

,则( )
A.a<b<c
B.c<b<a
C.c<a<b
D.b<a<c

查看答案和解析>>

科目:高中数学 来源:2010-2011学年湖南省高三1月高考模拟数学卷doc 题型:选择题

,且,则           (    )

    A.         B.10       C.20       D.100

 

查看答案和解析>>

科目:高中数学 来源:2010-2011学年广东省高三第一次月考理科数学卷 题型:选择题

设复数满足,则(  )

A.       B.      C.      D.

 

查看答案和解析>>

科目:高中数学 来源:2011届浙江省高三6月考前冲刺卷数学理 题型:选择题

对于集合M、N,定义:

,则=        (    )

   A.(,0]     B. [,0)    C.      D.

 

查看答案和解析>>

同步练习册答案