精英家教网 > 高中数学 > 题目详情
已知双曲线x2-y2=1及点A(,0).
(1)求点A到双曲线一条渐近线的距离;
(2)已知点O为原点,点P在双曲线上,△POA为直角三角形,求点P的坐标.
【答案】分析:(1)双曲线的一条渐近线是x-y=0,由点到直线距离公式可求出双曲线的A点到一条渐近线的距离.
(2)根据,△POA为直角三角形,分两种情况讨论:当∠OAP=90°,时,点P的横坐标为,代入双曲线x2-y2=1即得;当∠OPA=90°,时,点P的坐标为(x,y),
则有:(x-2+y2=,与方程x2-y2=1联立可得.
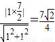
解答:解:(1)双曲线的一条渐近线是x-y=0,
由点到直线距离公式,A点到一条渐近线的距离是
(2)当∠OAP=90°,时,点P的横坐标为,代入双曲线x2-y2=1得:y=
∴点P的坐标().
当∠OPA=90°,时,点P的坐标为(x,y),
则有:(x-2+y2=,与方程x2-y2=1联立得:

∴点P的坐标(2,).
点评:本小题主要考查双曲线的简单性质、点到直线的距离公式等基础知识,考查运算求解能力,考查数形结合思想.属于基础题.
练习册系列答案
相关习题

科目:高中数学 来源: 题型:

3、已知双曲线x2-y2+1=0与抛物线y2=(k-1)x至多有两个公共点,则k的取值范围是(  )

查看答案和解析>>

科目:高中数学 来源: 题型:

已知双曲线x2-y2=2的左、右焦点分别为F1,F2,过点F2的动直线与双曲线相交于A,B两点.若动点M满足
F1M
=
F1A
+
F1B
+
F1O
(其中O为坐标原点),求点M的轨迹方程;

查看答案和解析>>

科目:高中数学 来源: 题型:

已知双曲线x2-y2=a2(a>0)的左、右顶点分别为A、B,双曲线在第一象限的图象上有一点P,∠PAB=α,∠PBA=β,∠APB=γ,则(  )
A、tanα+tanβ+tanγ=0B、tanα+tanβ-tanγ=0C、tanα+tanβ+2tanγ=0D、tanα+tanβ-2tanγ=0

查看答案和解析>>

科目:高中数学 来源: 题型:

已知双曲线x2-y2=λ与椭圆
x2
16
+
y2
64
=1
有共同的焦点,则λ的值为(  )

查看答案和解析>>

科目:高中数学 来源: 题型:

(2009•台州一模)已知双曲线x2-y2=4a(a∈R,a≠0)的右焦点是椭圆
x2
16
+
y2
9
=1
的一个顶点,则a=
2
2

查看答案和解析>>

同步练习册答案