已知等差数列{an}前三项的和为-3,前三项的积为8.
(1)求等差数列{an}的通项公式;
(2)若a2,a3,a1成等比数列,求数列{|an|}的前n项和.
【答案】
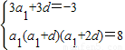
分析:(I)设等差数列的公差为d,由题意可得,

,解方程可求a
1,d,进而可求通项
(II)由(I)的通项可求满足条件a
2,a
3,a
1成等比的通项为a
n=3n-7,则|a
n|=|3n-7|=

,根据等差数列的求和公式可求
解答:解:(I)设等差数列的公差为d,则a
2=a
1+d,a
3=a
1+2d
由题意可得,

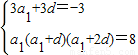
解得

或

由等差数列的通项公式可得,a
n=2-3(n-1)=-3n+5或a
n=-4+3(n-1)=3n-7
(II)当a
n=-3n+5时,a
2,a
3,a
1分别为-1,-4,2不成等比
当a
n=3n-7时,a
2,a
3,a
1分别为-1,2,-4成等比数列,满足条件
故|a
n|=|3n-7|=

设数列{|a
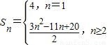
n|}的前n项和为S
n当n=1时,S
1=4,当n=2时,S
2=5
当n≥3时,S
n=|a
1|+|a
2|+…+|a
n|=5+(3×3-7)+(3×4-7)+…+(3n-7)
=5+

=

,当n=2时,满足此式
综上可得
点评:本题主要考查了利用等差数列的基本量表示等差数列的通项,等差数列与等比数列的通项公式的综合应用及等差数列的求和公式的应用,要注意分类讨论思想的应用