精英家教网 > 高中数学 > 题目详情
已知函数
(1)判断f(x)的奇偶性,并加以证明;
(2)判断f(x)的单调性,并加以证明;
(3)求f(x)的值域;
(4)解不等式
【答案】分析:(1)用定义判断函数的奇偶性.其步骤为先判断定义域的对称性,再判断f(x)与f(-x)的关系,另外注意本题书写的格式---先判断后证明.
(2)用定义判断函数的单调性,其步骤是任取两个自变量,对其函数值作差,判断其符号,得出单调性结论,注意本题书写的格式---先判断后证明.
(3)由(2)的结论求值域,求此类函数的值域时,注意到分子与分母是齐次式,故一般采取先分离常数,求值域.
(4)利用单调性解不等式,本题为增函数,故找出函数值为的自变量,即可求出其解集.此为解不等式的一类常用方法.
解答:解:(1)f(x)为奇函数.
因为f(x)的定义域为R,对?x∈R

∴f(x)为奇函数.
(2)f(x)是(-∞,+∞)上的增函数.
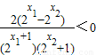
∵对-∞<x1<x2<+∞,

=
∴f(x)是(-∞,+∞)上的增函数.
(3)∵
又f(x)是(-∞,+∞)上的增函数,
∴f(x)∈(-1,1).
(4)∵
又∵即为f(x)>f(3);
又f(x)是(-∞,+∞)上的增函数;
∴不等式的解集为{x|x>3}
点评:本题综合考查了函数的性质,考查全面,一题多考,知识覆盖面广,技能性强.
练习册系列答案
相关习题

科目:高中数学 来源:2015届陕西省高一上学期期中考试数学试卷(解析版) 题型:解答题

(本小题12分)已知函数

(1)判断函数在区间上的单调性;

(2)求函数在区间是区间[2,6]上的最大值和最小值.

 

查看答案和解析>>

科目:高中数学 来源:2008-2009学年广东省江门市台山侨中高一(上)期中数学试卷(解析版) 题型:解答题

已知函数
(1)判断f(x)的奇偶性;(2)若,求a,b的值.

查看答案和解析>>

科目:高中数学 来源:2015届江苏省高一上学期期中考试数学试卷(解析版) 题型:解答题

已知函数

(1)判断函数的奇偶性;(4分)

(2)若关于的方程有两解,求实数的取值范围;(6分)

(3)若,记,试求函数在区间上的最大值.(10分)

 

查看答案和解析>>

科目:高中数学 来源:2011年辽宁省营口市高一上学期期末检测数学试卷 题型:解答题

(本小题满分12分)

 已知函数

(1)判断其奇偶性;

(2)指出该函数在区间(0,1)上的单调性并证明;

(3)利用(1)、(2)的结论,指出该函数在(-1,0)上的增减性.

 

查看答案和解析>>

科目:高中数学 来源:2010年福建省四地六校高二下学期第二次联考数学(文科)试题 题型:解答题

(本小题满分12分)已知函数

(1)判断函数的奇偶性;(2)求证:方程至少有一根在区间

 

查看答案和解析>>

同步练习册答案