精英家教网 > 高中数学 > 题目详情
在等比数列an中,前n项和为Sn,若S3=7,S6=63,则公比q=   
【答案】分析:利用等比数列的前n项和的公式把S3=7和S6=63化简后,得到两个关系式,分别记作①和②,然后②÷①即可得到关于q的方程,求出方程的解即为q的值.
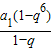
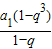
解答:解:S3==7①,S6==63②,
②÷①得:1+q3=9,即q3=8,解得q=2.
故答案为:2.
点评:此题考查学生灵活运用等比数列的前n项和的公式化简求值,是一道综合题.
练习册系列答案
相关习题

科目:高中数学 来源: 题型:

7、在等比数列{an}中,前n项和为Sn,若S3=7,S6=63则公比q等于(  )

查看答案和解析>>

科目:高中数学 来源: 题型:

在等比数列{an}中,前n项和为Sn,若Sm,Sm+2,Sm+1成等差数列,则am,am+2,am+1成等差数列.
(1)写出这个命题的逆命题;
(2)判断逆命题是否为真?并给出证明.

查看答案和解析>>

科目:高中数学 来源: 题型:

在等比数列{an}中,前3项的和为S3=3,公比q=2,则S6=(  )

查看答案和解析>>

科目:高中数学 来源: 题型:

在等比数列{an}中,前7项和S7=16,又a12+a22+…+a72=128,则a1-a2+a3-a4+a5-a6+a7=(  )

查看答案和解析>>

科目:高中数学 来源: 题型:

在等比数列{an}中,前n项的和为Sn
(1)公比q=3,S3=
133
,求通项an

(2)a2=6,6a1+a3=30,求Sn

查看答案和解析>>

同步练习册答案