精英家教网 > 高中数学 > 题目详情
如图,二面角α-l-β的大小是60°,线段AB?α.B∈l,AB与l所成的角为30°.则AB与平面β所成的角的正弦值是   
【答案】分析:过点A作平面β的垂线,垂足为C,在β内过C作l的垂线.垂足为D,连接AD,从而∠ADC为二面角α-l-β的平面角,连接CB,则∠ABC为AB与平面β所成的角,在直角三角形ABC中求出此角即可.
解答:解:过点A作平面β的垂线,垂足为C,
在β内过C作l的垂线.垂足为D
连接AD,有三垂线定理可知AD⊥l,
故∠ADC为二面角α-l-β的平面角,为60°
又由已知,∠ABD=30°
连接CB,则∠ABC为AB与平面β所成的角
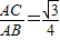
设AD=2,则AC=,CD=1
AB==4
∴sin∠ABC=
故答案为
点评:本题主要考查了平面与平面之间的位置关系,以及直线与平面所成角,考查空间想象能力、运算能力和推理论证能力,属于基础题.
练习册系列答案
相关习题

科目:高中数学 来源: 题型:

精英家教网如图,二面角α-l-β的大小是60°,线段AB?α.B∈l,AB与l所成的角为30°.则AB与平面β所成的角的正弦值是
 

查看答案和解析>>

科目:高中数学 来源: 题型:

如图:二面角α-l-β的大小是60°,线段AB?α,AB与l所成角为45°,则AB与平面β所成角的正弦值是
6
4
6
4

查看答案和解析>>

科目:高中数学 来源: 题型:

如图,二面角α-l-β,线段AB?α,AB=4,B∈l,lAB与l所成的角为30°,点A到平面β的距离为
3
,则二面角α-l-β的大小是
60°
60°

查看答案和解析>>

科目:高中数学 来源: 题型:

精英家教网如图,二面角α-l-β的棱l上有两点B、C,AB⊥l,CD⊥l,且AB⊆α,CD⊆β,若AB=CD=BC=2,AD=4,则此二面角的大小为
 

查看答案和解析>>

科目:高中数学 来源: 题型:

如图在二面角α- l-β中,A、B∈α,C、D∈l,ABCD为矩形,P∈β,PA⊥α,且PA=AD,MN依次是AB、PC的中点

⑴ 求二面角α- l-β的大小

⑵ 求证明:MN⊥AB

⑶ 求异面直线PA与MN所成角的大小

查看答案和解析>>

同步练习册答案