精英家教网 > 高中数学 > 题目详情

如果方程x2-(m+3)x+(m+6)=0的两个实根都在(2,4)之间,求m的范围.

答案:
解析:

  分析:根据题意,满足条件的图象应该如下图所示.

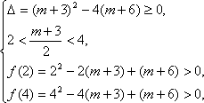
  第一,因为方程有两个实根,即函数有两个零点,而没有规定这两个零点是不是可以相等,所以第一个条件应该满足“Δ≥0”

  第二,对称轴必须通过区间(2,4)上的点〔简单地说成对称轴在(2,4)之间〕,这是因为图象与x轴的交点也一定关于对称轴对称.如果对称轴<2,则一定有一个零点<2,同样,如果对称轴大于4,则也一定有一个零点>4,因此第二个条件是对称轴必须满足“2<对称轴<4”.

  第三,由图可以看出f(2)、f(4)必须都大于0,甚至不能等于0,否则,如果f(2)<0,则一定会有一个零点小于2,同理f(4)也有同样要求,所以第三个条件应该是f(2)>0,f(4)>0.

  解:令f(x)=x2-(m+3)x+(m+6),它的图象是开口向上的抛物线,其对称轴为直线x=

  ∵方程x2-(m+3)x+(m+6)=0的两个实根都在(2,4)之间,

  ∴解得 ∴3≤m<

  所以方程x2-(m+3)x+(m+6)=0的两个实根都在(2,4)之间时,m的范围为[3,).

  点评:本题的不等式组由四个不等式组成,并不是多了一个条件,而是因为根所在的区间有两个端点,所以原来的第三个条件应该由两个不等式构成,总的来说,还是三个条件:Δ、对称轴、f(端点).


练习册系列答案
相关习题

科目:高中数学 来源: 题型:

如果方程x2+(m-1)x+m2-2=0的两个实根一个小于?1,另一个大于1,那么实数m的取值范围是
 

查看答案和解析>>

科目:高中数学 来源: 题型:

如果方程x2+(m-1)x+m2-2=0的两个实根一个小于1,另一个大于1,那么实数m的取值范围是
(-2,1)
(-2,1)

查看答案和解析>>

科目:高中数学 来源: 题型:

如果方程x2 +(m-1)x+m2-2=0的两个实根一个小于-1,另一个大于1,那么实数m的取值范是(  )

查看答案和解析>>

科目:高中数学 来源: 题型:

如果方程x2+(m-1)x+m2-2=0的两个实根一个小于1,另一个大于1,那么实数m的取值范围是(  )

查看答案和解析>>

科目:高中数学 来源: 题型:

如果方程x2+(m-1)x+m2-2=0的两个实根一个小于0,另一个大于1,那么实数m的取值范围是(  )

查看答案和解析>>

同步练习册答案