相关习题
 0  78018  78026  78032  78036  78042  78044  78048  78054  78056  78062  78068  78072  78074  78078  78084  78086  78092  78096  78098  78102  78104  78108  78110  78112  78113  78114  78116  78117  78118  78120  78122  78126  78128  78132  78134  78138  78144  78146  78152  78156  78158  78162  78168  78174  78176  78182  78186  78188  78194  78198  78204  78212  266669 

科目: 来源:2012-2013学年海南省三亚一中高二(下)期中数学试卷B(文科)(解析版) 题型:选择题

直线x+y=1与曲线(θ为参数)的公共点有( )个.
A.0
B.1
C.2
D.3

查看答案和解析>>

科目: 来源:2012-2013学年海南省三亚一中高二(下)期中数学试卷B(文科)(解析版) 题型:填空题

若复数z1=1+i,z2=3-i,则z1•z2的模为   

查看答案和解析>>

科目: 来源:2012-2013学年海南省三亚一中高二(下)期中数学试卷B(文科)(解析版) 题型:填空题

极坐标系中,直线l的方程为ρsinθ=3,则点到直线l的距离为   

查看答案和解析>>

科目: 来源:2012-2013学年海南省三亚一中高二(下)期中数学试卷B(文科)(解析版) 题型:填空题

已知0<x<1,则x(1-x)的最大值为   

查看答案和解析>>

科目: 来源:2012-2013学年海南省三亚一中高二(下)期中数学试卷B(文科)(解析版) 题型:填空题

若直线(t为参数)与直线4x+ky=1垂直,则常数k=   

查看答案和解析>>

科目: 来源:2012-2013学年海南省三亚一中高二(下)期中数学试卷B(文科)(解析版) 题型:解答题

设a,b均为正数,且a≠b,求证:a3+b3>a2b+ab2

查看答案和解析>>

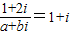
科目: 来源:2012-2013学年海南省三亚一中高二(下)期中数学试卷B(文科)(解析版) 题型:解答题

设a,b为实数,若复数,求实数a,b的值.

查看答案和解析>>

科目: 来源:2012-2013学年海南省三亚一中高二(下)期中数学试卷B(文科)(解析版) 题型:解答题

解不等式|x-1|+|x+2|≤5.

查看答案和解析>>

科目: 来源:2012-2013学年海南省三亚一中高二(下)期中数学试卷B(文科)(解析版) 题型:解答题

(极坐标与参数方程)在极坐标系(ρ,θ)(0≤θ<2π)中,求曲线ρ=2sinθ与ρcosθ=1的交点Q的极坐标.

查看答案和解析>>

科目: 来源:2012-2013学年海南省三亚一中高二(下)期中数学试卷B(文科)(解析版) 题型:解答题

(文科)某企业有两个分厂生产某种零件,按规定内径尺寸(单位:mm)的值落在(29.94,30.06)的零件为优质品.从两个分厂生产的零件中抽出500件,量其内径尺寸的结果如下表:
甲厂
分组[29.86,29.90)[29.90,29.94)[29.94,29.98)[29.98,30.02)
频数126386182
分组[30.02,30.06)[30.06,30.10)[30.10,30.14)
频数92614
乙厂
分组[29.86,29.90)[29.90,29.94)[29.94,29.98)[29.98,30.02)
频数297185159
分组[30.02,30.06)[30.06,30.10)[30.10,30.14)
频数766218
(1)试分别估计两个分厂生产的零件的优质品率;
(2)由于以上统计数据填下面2×2列联表,并问是否有99%的把握认为“两个分厂生产的零件的质量有差异”.
 甲厂乙厂合计
优质品   
非优质品   
合计   
p(x2≥k)0.050.01
k3.8416.635

查看答案和解析>>

同步练习册答案