相关习题
 0  78590  78598  78604  78608  78614  78616  78620  78626  78628  78634  78640  78644  78646  78650  78656  78658  78664  78668  78670  78674  78676  78680  78682  78684  78685  78686  78688  78689  78690  78692  78694  78698  78700  78704  78706  78710  78716  78718  78724  78728  78730  78734  78740  78746  78748  78754  78758  78760  78766  78770  78776  78784  266669 

科目: 来源:2012-2013学年广东省韶关市始兴县风度中学高一(上)期末数学试卷(解析版) 题型:解答题

解不等式

查看答案和解析>>

科目: 来源:2012-2013学年广东省韶关市始兴县风度中学高一(上)期末数学试卷(解析版) 题型:解答题

已知集合A={},集合B={1,2},且A⊆B,求a的取值的集合.

查看答案和解析>>

科目: 来源:2012-2013学年广东省韶关市始兴县风度中学高一(上)期末数学试卷(解析版) 题型:解答题

过点A(1,-1)向直线l作垂线,垂足为B(-3,1).求直线l的方程.

查看答案和解析>>

科目: 来源:2012-2013学年广东省韶关市始兴县风度中学高一(上)期末数学试卷(解析版) 题型:解答题

已知函数
(Ⅰ)求函数f(x)的定义域;
(Ⅱ)用定义判断f(x)的奇偶性.

查看答案和解析>>

科目: 来源:2012-2013学年广东省韶关市始兴县风度中学高一(上)期末数学试卷(解析版) 题型:解答题

设函数f(x)=(log2x+log24)(log2x+log22)的定义域为
(Ⅰ)若t=log2x,求t的取值范围;
(Ⅱ)求y=f(x)的最大值与最小值,并求出最值时对应的x的值.

查看答案和解析>>

科目: 来源:2012-2013学年四川省达州市高二(下)期末数学试卷(文科)(解析版) 题型:选择题

已知i为虚数单位,计算i(1+i)=( )
A.1-i
B.1+i
C.-1+i
D.-1-i

查看答案和解析>>

科目: 来源:2012-2013学年四川省达州市高二(下)期末数学试卷(文科)(解析版) 题型:选择题

“a、b、c等比”是“b2=ac”的( )
A.充分不必要条件
B.充要条件
C.必要不充分条件
D.既不充分也不必要条件

查看答案和解析>>

科目: 来源:2012-2013学年四川省达州市高二(下)期末数学试卷(文科)(解析版) 题型:选择题

已知f(x)=ex,f(x)的导数为f'(x),则f'(-2)=( )
A.2e
B.-2e
C.e-2
D.-2e-2

查看答案和解析>>

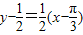
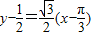
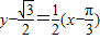
科目: 来源:2012-2013学年四川省达州市高二(下)期末数学试卷(文科)(解析版) 题型:选择题

函数f(x)=sinx在处的切线方程是( )
A.
B.
C.
D.

查看答案和解析>>

科目: 来源:2012-2013学年四川省达州市高二(下)期末数学试卷(文科)(解析版) 题型:选择题

已知 p:所有国产手机都有陷阱消费,则¬p是( )
A.所有国产手机都没有陷阱消费
B.有一部国产手机有陷阱消费
C.有一部国产手机没有陷阱消费
D.国外产手机没有陷阱消费

查看答案和解析>>

同步练习册答案