相关习题
 0  78702  78710  78716  78720  78726  78728  78732  78738  78740  78746  78752  78756  78758  78762  78768  78770  78776  78780  78782  78786  78788  78792  78794  78796  78797  78798  78800  78801  78802  78804  78806  78810  78812  78816  78818  78822  78828  78830  78836  78840  78842  78846  78852  78858  78860  78866  78870  78872  78878  78882  78888  78896  266669 

科目: 来源:2012-2013学年江苏省泰州市靖江市高一(下)期中数学试卷(解析版) 题型:解答题

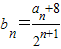
正项数列{an}中,前n项和为Sn,且a1=2,且
(1)求数列{an}的通项公式;
(2)设,Tn=b1+b2+…+bn,证明

查看答案和解析>>

科目: 来源:2010-2011学年天津市南开中学高二(下)期末数学试卷(理科)(解析版) 题型:选择题

5男4女站成一排,要求女生不相邻的排法有( )种.
A.
B.
C.
D.

查看答案和解析>>

科目: 来源:2010-2011学年天津市南开中学高二(下)期末数学试卷(理科)(解析版) 题型:选择题

记者要为5名志愿者和他们帮助的2位老人拍照,要求排成一排,2位老人相邻但不排在两端,不同的排法共有( )
A.1440种
B.960种
C.720种
D.480种

查看答案和解析>>

科目: 来源:2010-2011学年天津市南开中学高二(下)期末数学试卷(理科)(解析版) 题型:选择题

甲、乙两人独立地解同一问题,甲解决这个问题的概率是p1,乙解决这个问题的概率是p2,那么恰好有1人解决这个问题的概率是( )
A.p1p2
B.p1(1-p2)+p2(1-p1
C.1-p1p2
D.1-(1-p1)(1-p2

查看答案和解析>>

科目: 来源:2010-2011学年天津市南开中学高二(下)期末数学试卷(理科)(解析版) 题型:选择题

某一试验中事件A发生的概率为p,则在这样的n次独立重复试验中,A的对立事件恰好发生k次的概率是( )
A.1-pk
B.
C.(1-p)k
D.

查看答案和解析>>

科目: 来源:2010-2011学年天津市南开中学高二(下)期末数学试卷(理科)(解析版) 题型:选择题

极坐标方程ρcosθ=2sin2θ表示的曲线为( )
A.一条射线和一个圆
B.两条直线
C.一条直线和一个圆
D.一个圆

查看答案和解析>>

科目: 来源:2010-2011学年天津市南开中学高二(下)期末数学试卷(理科)(解析版) 题型:选择题

设某随机变量x满足正态分布N(3,σ2),且P(1<x≤5)=0.6,则P(x≤1)=( )
A.0.2
B.0.4
C.0.6
D.0.8

查看答案和解析>>

科目: 来源:2010-2011学年天津市南开中学高二(下)期末数学试卷(理科)(解析版) 题型:选择题

已知回归直线方程y=bx+a,其中a=3且样本点中心为(1,2),则回归直线方程为( )
A.y=x+3
B.y=-2x+3
C.y=-x+3
D.y=x-3

查看答案和解析>>

科目: 来源:2010-2011学年天津市南开中学高二(下)期末数学试卷(理科)(解析版) 题型:选择题

若(1-2x)2009=a+a1x+…+a2009x2009(x∈R),则的值为( )
A.2
B.0
C.-1
D.-2

查看答案和解析>>

科目: 来源:2010-2011学年天津市南开中学高二(下)期末数学试卷(理科)(解析版) 题型:选择题

5本不同的书全部分给3个学生,每人至少一本,共有( )种分法.
A.60
B.150
C.300
D.210

查看答案和解析>>

同步练习册答案