相关习题
 0  78709  78717  78723  78727  78733  78735  78739  78745  78747  78753  78759  78763  78765  78769  78775  78777  78783  78787  78789  78793  78795  78799  78801  78803  78804  78805  78807  78808  78809  78811  78813  78817  78819  78823  78825  78829  78835  78837  78843  78847  78849  78853  78859  78865  78867  78873  78877  78879  78885  78889  78895  78903  266669 

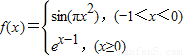
科目: 来源:2012-2013学年广西贺州高级中学高一(下)期末数学试卷(理科)(解析版) 题型:填空题

函数,若f(1)+f(α)=2,则α的所有可能值的集合为   

查看答案和解析>>

科目: 来源:2012-2013学年广西贺州高级中学高一(下)期末数学试卷(理科)(解析版) 题型:填空题

已知直角梯形ABCD中,AD∥BC,∠ADC=90°,AD=2,BC=1,P是腰DC上的动点,则的最小值为   

查看答案和解析>>

科目: 来源:2012-2013学年广西贺州高级中学高一(下)期末数学试卷(理科)(解析版) 题型:解答题

已知向量,且
(1)求实数m和的夹角;
(2)当平行时,求实数k的值.

查看答案和解析>>

科目: 来源:2012-2013学年广西贺州高级中学高一(下)期末数学试卷(理科)(解析版) 题型:解答题

投掷一个质地均匀的、每个面上标有一个数字的正方体玩具,它的六个面中,有两个面标的数字是0,两个面标的数字是2,两个面标的数字是4,将此玩具连续抛掷两次,以两次朝上一面出现的数字分别作为点P的横坐标和纵坐标
(1)求点P落在区域C:x2+y2≤10内的概率;
(2)若以落在区域C上的所有点为顶点作面积最大的多边形区域M,在区域C上随机撒一粒豆子,求豆子落在区域M上的概率.

查看答案和解析>>

科目: 来源:2012-2013学年广西贺州高级中学高一(下)期末数学试卷(理科)(解析版) 题型:解答题

已知向量=(cosα,sinα),=(cosβ,sinβ),|-|=
(1)求cos(α-β)的值;
(2)若0<α<,-<β<0,且sinβ=-,求sinα的值.

查看答案和解析>>

科目: 来源:2012-2013学年广西贺州高级中学高一(下)期末数学试卷(理科)(解析版) 题型:解答题

已知函数
(1)求f(x)的周期和及其图象的对称中心;
(2)在△ABC中,角A、B、C的对边分别是a、b、c,满足(2a-c)cosB=bcosC,求函数f(A)的取值范围.

查看答案和解析>>

科目: 来源:2012-2013学年广西贺州高级中学高一(下)期末数学试卷(理科)(解析版) 题型:解答题

已知向量,ω>0且,函数f(x)图象上相邻两条对称轴之间的距离是2π.
(Ⅰ)求函数f(x)的单调递减区间;
(Ⅱ)设函数g(x)=f(x+φ),φ∈(0,π),若g(x)为偶函数,求g(x)的最大值及相应的x值.

查看答案和解析>>

科目: 来源:2012-2013学年广西贺州高级中学高一(下)期末数学试卷(理科)(解析版) 题型:解答题

如图所示,在Rt△ABC内有一内接正方形,它的一条边在斜边BC上,设AB=a,∠ABC=θ
(1)求△ABC的面积f(θ)与正方形面积g(θ);
(2)当θ变化时,求的最小值.

查看答案和解析>>

科目: 来源:2012-2013学年甘肃省定西市高一(上)期末数学试卷(解析版) 题型:选择题

设集合A={4,5,7,9},B={3,4,7,8,9},全集U=A∪B,则集合∁U(A∩B)中的元素共有( )
A.3个
B.4个
C.5个
D.6个

查看答案和解析>>

科目: 来源:2012-2013学年甘肃省定西市高一(上)期末数学试卷(解析版) 题型:选择题

过点(1,0)且与直线x-2y-2=0平行的直线方程是( )
A.x-2y-1=0
B.x-2y+1=0
C.2x+y-2=0
D.x+2y-1=0

查看答案和解析>>

同步练习册答案