相关习题
 0  78805  78813  78819  78823  78829  78831  78835  78841  78843  78849  78855  78859  78861  78865  78871  78873  78879  78883  78885  78889  78891  78895  78897  78899  78900  78901  78903  78904  78905  78907  78909  78913  78915  78919  78921  78925  78931  78933  78939  78943  78945  78949  78955  78961  78963  78969  78973  78975  78981  78985  78991  78999  266669 

科目: 来源:2011-2012学年四川省德阳市高一(上)期中数学试卷(解析版) 题型:选择题

若函数f(ex)=x+1,则f(x)=( )
A.ex+1
B.x+1
C.ln(x+1)
D.lnx+1

查看答案和解析>>

科目: 来源:2011-2012学年四川省德阳市高一(上)期中数学试卷(解析版) 题型:选择题

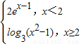
设f(x)=则不等式f(x)>2的解集为( )
A.(1,2)∪(3,+∞)
B.(,+∞)
C.(1,2)∪(,+∞)
D.(1,2)

查看答案和解析>>

科目: 来源:2011-2012学年四川省德阳市高一(上)期中数学试卷(解析版) 题型:选择题

方程x+log2x=6的根为α,方程x+log3x=6的根为β,则( )
A.α>β
B.α=β
C.α<β
D.α,β的大小关系无法确定

查看答案和解析>>

科目: 来源:2011-2012学年四川省德阳市高一(上)期中数学试卷(解析版) 题型:选择题

已知2a=3b=k(k≠1),且2a+b=ab,则实数k的值为( )
A.6
B.9
C.12
D.18

查看答案和解析>>

科目: 来源:2011-2012学年四川省德阳市高一(上)期中数学试卷(解析版) 题型:填空题

若函数f(x)=x2+2(a-1)x+2在(-∞,4)上是减函数,则实数a的取值范围是   

查看答案和解析>>

科目: 来源:2011-2012学年四川省德阳市高一(上)期中数学试卷(解析版) 题型:填空题

函数y=ax-1+1(a>0且a≠1)的图象必经过定点    

查看答案和解析>>

科目: 来源:2011-2012学年四川省德阳市高一(上)期中数学试卷(解析版) 题型:填空题

已知偶函数f(x)满足f(x+2)=xf(x)(x∈R),则f(1)=   

查看答案和解析>>

科目: 来源:2011-2012学年四川省德阳市高一(上)期中数学试卷(解析版) 题型:填空题

函数f(x)的定义域为A,若x1,x2∈A且f(x1)=f(x2)时总有x1=x2,则称f(x)为单函数.例如,函数f(x)=2x+1(x∈R)是单函数.下列命题:
①函数f(x)=x2(x∈R)是单函数;
②若f(x)为单函数,x1,x2∈A且x1≠x2,则f(x1)≠f(x2);
③若f:A→B为单函数,则对于任意b∈B,它至多有一个原象;
④函数f(x)在某区间上具有单调性,则f(x)一定是单函数.
其中的真命题是    .(写出所有真命题的编号)

查看答案和解析>>

科目: 来源:2011-2012学年四川省德阳市高一(上)期中数学试卷(解析版) 题型:解答题

计算下列各题:
(1)-lg25-2lg2;
(2)

查看答案和解析>>

科目: 来源:2011-2012学年四川省德阳市高一(上)期中数学试卷(解析版) 题型:解答题

已知集合A={x|2≤x≤8},B={x|1<x<6},C={x|x>a},U=R.
(1)求A∪B;
(2)求(∁UA)∩B;
(3)如果A∩C≠∅,求a的取值范围.

查看答案和解析>>

同步练习册答案