相关习题
 0  78807  78815  78821  78825  78831  78833  78837  78843  78845  78851  78857  78861  78863  78867  78873  78875  78881  78885  78887  78891  78893  78897  78899  78901  78902  78903  78905  78906  78907  78909  78911  78915  78917  78921  78923  78927  78933  78935  78941  78945  78947  78951  78957  78963  78965  78971  78975  78977  78983  78987  78993  79001  266669 

科目: 来源:2012-2013学年山西省忻州市高一(上)期末数学试卷(B卷)(解析版) 题型:选择题

阅读如图所示的程序框图,运行相应的程序,输出的结果为( )

A.676
B.26
C.5
D.2

查看答案和解析>>

科目: 来源:2012-2013学年山西省忻州市高一(上)期末数学试卷(B卷)(解析版) 题型:选择题

已知函数f(x)=,则有( )
A.f(x)是奇函数,且f()=f(x)
B.f(x)是奇函数,且f()=-f(x)
C.f(x)是偶函数,且f()=f(x)
D.f(x)是偶函数,f()=-f(x)

查看答案和解析>>

科目: 来源:2012-2013学年山西省忻州市高一(上)期末数学试卷(B卷)(解析版) 题型:填空题

函数y=loga(x-1)+2(a>0,a≠1)的图象恒过一定点是   

查看答案和解析>>

科目: 来源:2012-2013学年山西省忻州市高一(上)期末数学试卷(B卷)(解析版) 题型:填空题

某公司为改善职工的出行条件,随机抽取50名职工,调查他们的居住地与公司的距离d(单位:千米).若样本数据分组为[0,2],(2,4],(4,6],(6,8],(8,10],(10,12],由数据绘制的分布频率直方图如图所示,则样本中职工居住地与公司的距离不超过4千米的人数为    人.

查看答案和解析>>

科目: 来源:2012-2013学年山西省忻州市高一(上)期末数学试卷(B卷)(解析版) 题型:填空题

如图,在正方形内有一扇形(见阴影部分),扇形对应的圆心是正方形的一顶点,半径为正方形的边长.在这个图形上随机撒一粒黄豆,它落在扇形外正方形内的概率为   

查看答案和解析>>

科目: 来源:2012-2013学年山西省忻州市高一(上)期末数学试卷(B卷)(解析版) 题型:填空题

已知函数f(x)满足,,则f(-7.5)=   

查看答案和解析>>

科目: 来源:2012-2013学年山西省忻州市高一(上)期末数学试卷(B卷)(解析版) 题型:解答题

设全集U={1,2,3,4},且A={x|x2-5x+m=0,x∈U}若CUA={1,4},求m的值.

查看答案和解析>>

科目: 来源:2012-2013学年山西省忻州市高一(上)期末数学试卷(B卷)(解析版) 题型:解答题

某市统计局就某地居民的月收入调查了10000人,他们的月收入均在[1000,4000)内.现根据所得数据画出了该样本的频率分布直方图如下.(每个分组包括左端点,不包括右端点,如第一组表示月收入在[1000,1500)内) 

(1)求某居民月收入在[3000,4000)内的频率;
(2)根据该频率分布直方图估计居民的月收入的中位数;
(3)为了分析居民的月收入与年龄、职业等方面的关系,需再从这10000人中利用分层抽样的方法抽取100人作进一步分析,则应从月收入在[3000,3500)内的居民中抽取多少人?

查看答案和解析>>

科目: 来源:2012-2013学年山西省忻州市高一(上)期末数学试卷(B卷)(解析版) 题型:解答题

已知函数
(1)判断该函数在区间(2,+∞)上的单调性,并给出证明;
(2)求该函数在区间[3,6]上的最大值和最小值.

查看答案和解析>>

科目: 来源:2012-2013学年山西省忻州市高一(上)期末数学试卷(B卷)(解析版) 题型:解答题

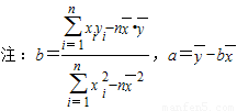
某车间为了规定工时定额,需要确定加个某零件所花费的时间,为此作了四次实验,得到的数据如下:
零件的个数x(个)2345
加工的时间y(小时)2.5344.5
(1)求出y关于x的线性回归方程;
(2)试预测加工10个零件需要多少时间?

查看答案和解析>>

同步练习册答案