相关习题
0 78894 78902 78908 78912 78918 78920 78924 78930 78932 78938 78944 78948 78950 78954 78960 78962 78968 78972 78974 78978 78980 78984 78986 78988 78989 78990 78992 78993 78994 78996 78998 79002 79004 79008 79010 79014 79020 79022 79028 79032 79034 79038 79044 79050 79052 79058 79062 79064 79070 79074 79080 79088 266669
科目:
来源:2012-2013学年山东省济宁市鱼台一中高二(下)3月月考数学试卷(理科)(解析版)
题型:选择题
已知直线y=kx+m与抛物线y
2=2x交于A,B两点,且

(其中O为坐标原点),若OM⊥AB于M,则点M的轨迹方程为( )
A.x
2+y
2=2
B.(x-1)
2+y
2=1
C.x
2+(y-1)
2=1
D.(x-1)
2+y
2=4
查看答案和解析>>
科目:
来源:2012-2013学年山东省济宁市鱼台一中高二(下)3月月考数学试卷(理科)(解析版)
题型:填空题
方程x2+ky2=2表示焦点在y轴的椭圆,那么实数k的取值范围是 .
查看答案和解析>>
科目:
来源:2012-2013学年山东省济宁市鱼台一中高二(下)3月月考数学试卷(理科)(解析版)
题型:填空题
圆x
2+y
2+2x+4y-3=0上到直线4x-3y=2的距离为

的点共有
个.
查看答案和解析>>
科目:
来源:2012-2013学年山东省济宁市鱼台一中高二(下)3月月考数学试卷(理科)(解析版)
题型:填空题
已知圆C:x2+y2+2x-4y+m=0与直线l:y=x+2相切,且圆D与圆C关于直线l对称,则圆D的方程是 .
查看答案和解析>>
科目:
来源:2012-2013学年山东省济宁市鱼台一中高二(下)3月月考数学试卷(理科)(解析版)
题型:填空题
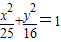
如图,把椭圆

的长轴AB分成8等份,过每个分点作x轴的垂线交椭圆的上半部分于P
1,P
2,P
3,P
4,P
5,P
6,P
7七个点,F是椭圆的一个焦点,则|P
1F|+|P
2F|+|P
3F|+|P
4F|+|P
5F|+|P
6F|+|P
7F|=
.

查看答案和解析>>
科目:
来源:2012-2013学年山东省济宁市鱼台一中高二(下)3月月考数学试卷(理科)(解析版)
题型:解答题
若关于x的不等式[x-(3-a)](x-2a)<0的解集是A,y=ln(-x2+3x-2)的定义域是B,若A∪B=A,求实数a的取值范围.
查看答案和解析>>
科目:
来源:2012-2013学年山东省济宁市鱼台一中高二(下)3月月考数学试卷(理科)(解析版)
题型:解答题
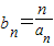
等比数列{a
n}的各项均为正数,且2a
1+3a
2=1,

.
(1)求数列{a
n}的通项公式.
(2)设

,求数列{b
n}的前n项和S
n.
查看答案和解析>>
科目:
来源:2012-2013学年山东省济宁市鱼台一中高二(下)3月月考数学试卷(理科)(解析版)
题型:解答题
甲打靶射击,有4发子弹,其中有一发是空弹(“空弹”即只有弹体没有弹头的子弹).
(1)如果甲只射击1次,求在这一枪出现空弹的概率;
(2)如果甲共射击3次,求在这三枪中出现空弹的概率;
(3)如果在靶上画一个边长为10的等边△PQR,甲射手用实弹瞄准了三角形PQR区域随机射击,且弹孔都落在三角形PQR弹孔与△PQR三个顶点的距离都大于1的概率(忽略弹孔大小).
查看答案和解析>>
科目:
来源:2012-2013学年山东省济宁市鱼台一中高二(下)3月月考数学试卷(理科)(解析版)
题型:解答题
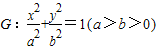
已知椭圆

的离心率为

,右焦点为(

,0),斜率为I的直线l与椭圆G交与A、B两点,以AB为底边作等腰三角形,顶点为P(-3,2).
(I)求椭圆G的方程;
(Ⅱ)求△PAB的面积.
查看答案和解析>>
科目:
来源:2012-2013学年山东省济宁市鱼台一中高二(下)3月月考数学试卷(理科)(解析版)
题型:解答题
已知函数

.
(1)若f(x)是单调函数,求a的取值范围;
(2)若f(x)有两个极值点x
1,x
2,证明:f(x
1)+f(x
2)>3-2ln2.
查看答案和解析>>