相关习题
 0  78903  78911  78917  78921  78927  78929  78933  78939  78941  78947  78953  78957  78959  78963  78969  78971  78977  78981  78983  78987  78989  78993  78995  78997  78998  78999  79001  79002  79003  79005  79007  79011  79013  79017  79019  79023  79029  79031  79037  79041  79043  79047  79053  79059  79061  79067  79071  79073  79079  79083  79089  79097  266669 

科目: 来源:2012-2013学年江苏省徐州五中高一(下)期中数学试卷(解析版) 题型:填空题

在△ABC中,sinA:sinB:sinC=3:2:4,则cosC的值为   

查看答案和解析>>

科目: 来源:2012-2013学年江苏省徐州五中高一(下)期中数学试卷(解析版) 题型:填空题

中a1=3,a2=6,且an+2=an+1-an,那么a4=   

查看答案和解析>>

科目: 来源:2012-2013学年江苏省徐州五中高一(下)期中数学试卷(解析版) 题型:填空题

tan19°+tan26°+tan19°tan26°=   

查看答案和解析>>

科目: 来源:2012-2013学年江苏省徐州五中高一(下)期中数学试卷(解析版) 题型:填空题

数列{an}为等比数列,Sn为其前n项和.已知a1=1,q=3,St=364,则at=   

查看答案和解析>>

科目: 来源:2012-2013学年江苏省徐州五中高一(下)期中数学试卷(解析版) 题型:填空题

一个有限项的等差数列,前4项之和为40,最后4项之和是80,所有项之和是210,则此数列的项数为   

查看答案和解析>>

科目: 来源:2012-2013学年江苏省徐州五中高一(下)期中数学试卷(解析版) 题型:填空题

化简=   

查看答案和解析>>

科目: 来源:2012-2013学年江苏省徐州五中高一(下)期中数学试卷(解析版) 题型:填空题

△ABC中,若sinAsinB<cosAcosB,则△ABC的形状为    

查看答案和解析>>

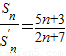
科目: 来源:2012-2013学年江苏省徐州五中高一(下)期中数学试卷(解析版) 题型:填空题

两等差数列{an}、{bn}的前n项和的比的值是   

查看答案和解析>>

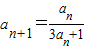
科目: 来源:2012-2013学年江苏省徐州五中高一(下)期中数学试卷(解析版) 题型:填空题

已知数列{an}中,,则a2013=   

查看答案和解析>>

科目: 来源:2012-2013学年江苏省徐州五中高一(下)期中数学试卷(解析版) 题型:填空题

设y=f(x)是一次函数,f(0)=1,且f(1),f(4),f(13)成等比数列,则f(2)+f(4)+…+f(2n)=   

查看答案和解析>>

同步练习册答案