相关习题
0 78906 78914 78920 78924 78930 78932 78936 78942 78944 78950 78956 78960 78962 78966 78972 78974 78980 78984 78986 78990 78992 78996 78998 79000 79001 79002 79004 79005 79006 79008 79010 79014 79016 79020 79022 79026 79032 79034 79040 79044 79046 79050 79056 79062 79064 79070 79074 79076 79082 79086 79092 79100 266669
科目:
来源:2011-2012学年广东省惠州实验中学高二(上)期中数学试卷(文科)(解析版)
题型:解答题
袋中有大小、形状相同的红、黑球各一个,现一次有放回地随机摸取3次,每次摸取一个球
(Ⅰ)试问:一共有多少种不同的结果?请列出所有可能的结果;
(Ⅱ)若摸到红球时得2分,摸到黑球时得1分,求3次摸球所得总分为5的概率.
查看答案和解析>>
科目:
来源:2011-2012学年广东省惠州实验中学高二(上)期中数学试卷(文科)(解析版)
题型:解答题
为了了解高一学生的体能情况,某校抽取部分学生进行一分钟跳绳次数测试,将所得数据整理后,画出频率分布直方图(如图),图中从左到右各小长方形面积之比为2:4:17:15:9:3,已知第二小组频数为12.
(1)第二小组的频率是多少?样本容量是多少?
(2)若次数在110以上(含110次)为达标,试估计该学校全体高一学生的达标率是多少?
(3)在这次测试中,学生跳绳次数的中位数落在哪个小组内?请说明.

查看答案和解析>>
科目:
来源:2011-2012学年广东省惠州实验中学高二(上)期中数学试卷(文科)(解析版)
题型:解答题
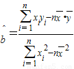
某种产品的广告费支出x(百万元)与销售额y(百万元)之间有如下对应数据:
如果y与x之间具有线性相关关系.
(1)作出这些数据的散点图;
(2)求这些数据的线性回归方程

;
(3)预测当广告费支出为9百万元时的销售额.
参考公式:用最小二乘法求线性回归方程系数公式

,

参考数据:

.
查看答案和解析>>
科目:
来源:2011-2012学年广东省惠州实验中学高二(上)期中数学试卷(文科)(解析版)
题型:解答题
已知函数

.
(1)求f(x)的最小正周期;
(2)求f(x)的单调递增区间.
查看答案和解析>>
科目:
来源:2011-2012学年广东省惠州实验中学高二(上)期中数学试卷(文科)(解析版)
题型:解答题
已知数列{an}是首项a1=1的等差数列,其前n项和为Sn,数列{bn}是首项b1=2的等比数列,且b2S2=16,b1b3=b4.
(1)求an和bn;
(2)令c1=1,c2k=a2k-1,c2k+1=a2k+k•bk(k=1,2,3,…),若数列{cn}的前n项和为Tn,试比较T2n+1-13n与(2n-2)bn的大小.
查看答案和解析>>
科目:
来源:2012-2013学年安徽省亳州市涡阳四中高二(下)期末数学试卷(文科)(解析版)
题型:选择题
已知复数z=

,则复数z在复平面内对应的点在( )
A.第一象限
B.第二象限
C.第三象限
D.第四象限
查看答案和解析>>
科目:
来源:2012-2013学年安徽省亳州市涡阳四中高二(下)期末数学试卷(文科)(解析版)
题型:选择题
已知全集U=R,集合P={x|x2≤1},那么∁UP=( )
A.(-∞,-1]
B.[1,+∞)
C.[-1,1]
D.(-∞,-1)∪(1,+∞)
查看答案和解析>>
科目:
来源:2012-2013学年安徽省亳州市涡阳四中高二(下)期末数学试卷(文科)(解析版)
题型:选择题
阅读下面的程序框图,则输出的S=( )

A.14
B.20
C.30
D.55
查看答案和解析>>
科目:
来源:2012-2013学年安徽省亳州市涡阳四中高二(下)期末数学试卷(文科)(解析版)
题型:选择题
已知a,b是实数,则“a=1且b=1”是“a+b=2”的( )
A.充分而不必要条件
B.必要而不充分条件
C.充分必要条件
D.既不充分也不必要条件
查看答案和解析>>
科目:
来源:2012-2013学年安徽省亳州市涡阳四中高二(下)期末数学试卷(文科)(解析版)
题型:选择题
查看答案和解析>>