相关习题
 0  78910  78918  78924  78928  78934  78936  78940  78946  78948  78954  78960  78964  78966  78970  78976  78978  78984  78988  78990  78994  78996  79000  79002  79004  79005  79006  79008  79009  79010  79012  79014  79018  79020  79024  79026  79030  79036  79038  79044  79048  79050  79054  79060  79066  79068  79074  79078  79080  79086  79090  79096  79104  266669 

科目: 来源:2011-2012学年广西贵港市高一(上)期中数学试卷(解析版) 题型:解答题

函数(x>0,a>0).
(1)当a=1时,证明:f(x)在(1,+∞)上是增函数;
(2)若f(x)在(0,2)上是减函数,求a的取值范围.

查看答案和解析>>

科目: 来源:2012-2013学年河北省唐山市滦南一中高二(下)期末数学试卷(理科)(解析版) 题型:选择题

已知集合M={x|x2-1<0},N={y|y=log2(x+2),x∈M},则M∩N=( )
A.(0,1)
B.(-1,1)
C.(-1,0)
D.∅

查看答案和解析>>

科目: 来源:2012-2013学年河北省唐山市滦南一中高二(下)期末数学试卷(理科)(解析版) 题型:选择题

已知命题p:?x∈R,+2x+1≤0,则¬p为( )
A.?x∈R,+2x+1>0
B.?x∈R,+2x+1<0
C.?x∈R,+2x+1≤0
D.?x∈R,+2x+1>0

查看答案和解析>>

科目: 来源:2012-2013学年河北省唐山市滦南一中高二(下)期末数学试卷(理科)(解析版) 题型:选择题

若复数(a∈R)为纯虚数,则|a+2i|=( )
A.5
B.13
C.
D.

查看答案和解析>>

科目: 来源:2012-2013学年河北省唐山市滦南一中高二(下)期末数学试卷(理科)(解析版) 题型:选择题

已知双曲线-=1(a>0,b>0)的一个焦点到一条渐近线的距离为c(c为双曲线的半焦距长),则该双曲线的离心率为( )
A.2
B.
C.
D.

查看答案和解析>>

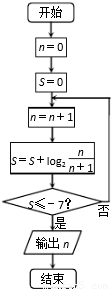
科目: 来源:2012-2013学年河北省唐山市滦南一中高二(下)期末数学试卷(理科)(解析版) 题型:选择题

执行如图所示的程序框图,输出的结果是( )

A.127
B.128
C.255
D.256

查看答案和解析>>

科目: 来源:2012-2013学年河北省唐山市滦南一中高二(下)期末数学试卷(理科)(解析版) 题型:选择题

2013年第12届全国运动会将在沈阳举行,某校4名大学生申请当A,B,C三个比赛项目的志愿者,组委会接受了他们的申请,每个比赛项目至少分配一人,每人只能服务一个比赛项目,则不同的安排方案共有( )
A.72种
B.24种
C.30种
D.36种

查看答案和解析>>

科目: 来源:2012-2013学年河北省唐山市滦南一中高二(下)期末数学试卷(理科)(解析版) 题型:选择题

若(x2+1)(x-3)11=a+a1(x-2)+a2(x-2)2+…+a13(x-2)13,则a1+a2+…+a11+a12的值为( )
A.-1
B.5
C.-6
D.254

查看答案和解析>>

科目: 来源:2012-2013学年河北省唐山市滦南一中高二(下)期末数学试卷(理科)(解析版) 题型:选择题

三棱锥D-ABC及其三视图中的正视图和左视图如图,则三棱锥中最长棱的长为( )

A.4
B.4
C.3
D.3

查看答案和解析>>

科目: 来源:2012-2013学年河北省唐山市滦南一中高二(下)期末数学试卷(理科)(解析版) 题型:选择题

函数f(x)=Asin(ωx+φ)(A>0,ω>0)的部分图象如图所示,下列结论:
①将f(x)的图象向左平移个单位,所得到的函数是偶函数;
②f(x)的最小正周期为π;
③f(0)=1;
④f()<f();
⑤f(x)=-f(-x).
其中正确的是( )

A.①②③
B.②③④
C.①④⑤
D.②④⑤

查看答案和解析>>

同步练习册答案