相关习题
 0  78922  78930  78936  78940  78946  78948  78952  78958  78960  78966  78972  78976  78978  78982  78988  78990  78996  79000  79002  79006  79008  79012  79014  79016  79017  79018  79020  79021  79022  79024  79026  79030  79032  79036  79038  79042  79048  79050  79056  79060  79062  79066  79072  79078  79080  79086  79090  79092  79098  79102  79108  79116  266669 

科目: 来源:2012-2013学年江苏省徐州市六校联考高一(下)期中数学试卷(解析版) 题型:填空题

化简=   

查看答案和解析>>

科目: 来源:2012-2013学年江苏省徐州市六校联考高一(下)期中数学试卷(解析版) 题型:填空题

△ABC中,若sinAsinB<cosAcosB,则△ABC的形状为    

查看答案和解析>>

科目: 来源:2012-2013学年江苏省徐州市六校联考高一(下)期中数学试卷(解析版) 题型:填空题

两等差数列{an}、{bn}的前n项和的比的值是   

查看答案和解析>>

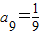
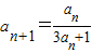
科目: 来源:2012-2013学年江苏省徐州市六校联考高一(下)期中数学试卷(解析版) 题型:填空题

已知数列{an}中,,则a2013=   

查看答案和解析>>

科目: 来源:2012-2013学年江苏省徐州市六校联考高一(下)期中数学试卷(解析版) 题型:填空题

设y=f(x)是一次函数,f(0)=1,且f(1),f(4),f(13)成等比数列,则f(2)+f(4)+…+f(2n)=   

查看答案和解析>>

科目: 来源:2012-2013学年江苏省徐州市六校联考高一(下)期中数学试卷(解析版) 题型:解答题

若三个数成等差数列,其和为15,其平方和为83,求此三个数.

查看答案和解析>>

科目: 来源:2012-2013学年江苏省徐州市六校联考高一(下)期中数学试卷(解析版) 题型:解答题

已知
(1)求tanα的值;
(2)求的值.

查看答案和解析>>

科目: 来源:2012-2013学年江苏省徐州市六校联考高一(下)期中数学试卷(解析版) 题型:解答题

如图,海中有一小岛,周围3.8海里内有暗礁.一军舰从A地出发由西向东航行,望见小岛B在北偏东75°,航行8海里到达C处,望见小岛B在北偏东60°.若此舰不改变舰行的方向继续前进,问此舰有没有触礁的危险?

查看答案和解析>>

科目: 来源:2012-2013学年江苏省徐州市六校联考高一(下)期中数学试卷(解析版) 题型:解答题

在△ABC中,角A,B,C的对边分别为a,b,c,且A,B,C成等差数列.
(1)若,c=2,求△ABC的面积;
(2)若sinA,sinB,sinC成等比数列,试判断△ABC的形状.

查看答案和解析>>

科目: 来源:2012-2013学年江苏省徐州市六校联考高一(下)期中数学试卷(解析版) 题型:解答题

已知函数f(x)=cos(+x)cos(-x),g(x)=sin2x-
(Ⅰ)求函数f(x)的最小正周期;
(Ⅱ)求函数h(x)=f(x)-g(x)的最大值,并求使h(x)取得最大值的x的集合.

查看答案和解析>>

同步练习册答案