相关习题
 0  78928  78936  78942  78946  78952  78954  78958  78964  78966  78972  78978  78982  78984  78988  78994  78996  79002  79006  79008  79012  79014  79018  79020  79022  79023  79024  79026  79027  79028  79030  79032  79036  79038  79042  79044  79048  79054  79056  79062  79066  79068  79072  79078  79084  79086  79092  79096  79098  79104  79108  79114  79122  266669 

科目: 来源:2011-2012学年安徽省高二(下)期中数学试卷(文科)(解析版) 题型:填空题

设函数f(x)=(x-a)(x-b)(x-c)(a、b、c是两两不等的常数),则++=   

查看答案和解析>>

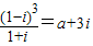
科目: 来源:2011-2012学年安徽省高二(下)期中数学试卷(文科)(解析版) 题型:填空题

已知,则a=   

查看答案和解析>>

科目: 来源:2011-2012学年安徽省高二(下)期中数学试卷(文科)(解析版) 题型:解答题

考查小麦种子经灭菌与否跟发生黑穗病的关系,经试验观察,得到数据如下表所示:
种子灭菌种子未灭菌合计
黑穗病26184210
无黑穗病50200250
合计76384460
试按照原实验目的作统计分析推断.

查看答案和解析>>

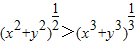
科目: 来源:2011-2012学年安徽省高二(下)期中数学试卷(文科)(解析版) 题型:解答题

已知x>0,y>0.用分析法证明:

查看答案和解析>>

科目: 来源:2011-2012学年安徽省高二(下)期中数学试卷(文科)(解析版) 题型:解答题

已知数列计算S1,S2,S3,根据据算结果,猜想Sn的表达式,并用数学归纳法进行证明.

查看答案和解析>>

科目: 来源:2011-2012学年安徽省高二(下)期中数学试卷(文科)(解析版) 题型:解答题

已知中至少有一个小于2.

查看答案和解析>>

科目: 来源:2011-2012学年安徽省高二(下)期中数学试卷(文科)(解析版) 题型:解答题

(1)已知方程x2-(2i-1)x+3m-i=0有实数根,求实数y=x(x-1)(x-2)的值.
(2)z∈C,解方程z•-2zi=1+2i.

查看答案和解析>>

科目: 来源:2011-2012学年安徽省高二(下)期中数学试卷(文科)(解析版) 题型:解答题

已知函数f(x)=x3-3x.
(1)求曲线y=f(x)在点x=2处的切线方程;
(2)若过点A(1,m)(m≠-2)可作曲线y=f(x)的三条切线,求实数m的取值范围.

查看答案和解析>>

科目: 来源:2012-2013学年重庆市杨家坪中学高二(上)第一次月考数学试卷(理科)(解析版) 题型:选择题

分别在两个平面内的两条直线间的位置关系是( )
A.异面
B.平行
C.相交
D.以上都有可能

查看答案和解析>>

科目: 来源:2012-2013学年重庆市杨家坪中学高二(上)第一次月考数学试卷(理科)(解析版) 题型:选择题

直线a′?平面α,直线b′?平面α,且a′∥b′,其中a′,b′分别是直线a和直线b在平面α上的正投影,则直线a与直线b的位置关系是( )
A.平行或异面
B.相交或异面
C.相交、平行或异面
D.以上答案都不正确

查看答案和解析>>

同步练习册答案