相关习题
 0  78959  78967  78973  78977  78983  78985  78989  78995  78997  79003  79009  79013  79015  79019  79025  79027  79033  79037  79039  79043  79045  79049  79051  79053  79054  79055  79057  79058  79059  79061  79063  79067  79069  79073  79075  79079  79085  79087  79093  79097  79099  79103  79109  79115  79117  79123  79127  79129  79135  79139  79145  79153  266669 

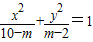
科目: 来源:2012-2013学年吉林省长春十一高高二(下)期初数学试卷(文科)(解析版) 题型:选择题

已知椭圆,长轴在y轴上,若焦距为4,则m等于( )
A.4
B.5
C.7
D.8

查看答案和解析>>

科目: 来源:2012-2013学年吉林省长春十一高高二(下)期初数学试卷(文科)(解析版) 题型:选择题

设函数f(x)=xex,则( )
A.x=1为f(x)的极大值点
B.x=1为f(x)的极小值点
C.x=-1为f(x)的极大值点
D.x=-1为f(x)的极小值点

查看答案和解析>>

科目: 来源:2012-2013学年吉林省长春十一高高二(下)期初数学试卷(文科)(解析版) 题型:选择题

每一吨铸铁成本y (元)与铸件废品率x%建立的回归方程y=56+8x,下列说法正确的是( )
A.废品率每增加1%,成本每吨增加64元
B.废品率每增加1%,成本每吨增加8%
C.废品率每增加1%,成本每吨增加8元
D.如果废品率增加1%,则每吨成本为56元

查看答案和解析>>

科目: 来源:2012-2013学年吉林省长春十一高高二(下)期初数学试卷(文科)(解析版) 题型:选择题

“a+b>2c”的一个充分条件是( )
A.a>c或b>c
B.a>c且b<c
C.a>c且b>c
D.a>c或b<c

查看答案和解析>>

科目: 来源:2012-2013学年吉林省长春十一高高二(下)期初数学试卷(文科)(解析版) 题型:选择题

设a>b>c,n∈N,且恒成立,则n的最大值是( )
A.2
B.3
C.4
D.6

查看答案和解析>>

科目: 来源:2012-2013学年吉林省长春十一高高二(下)期初数学试卷(文科)(解析版) 题型:选择题

化极坐标方程ρ2cosθ-ρ=0为直角坐标方程为( )
A.x2+y2=0或y=1
B.x=1
C.x2+y2=0或x=1
D.y=1

查看答案和解析>>

科目: 来源:2012-2013学年吉林省长春十一高高二(下)期初数学试卷(文科)(解析版) 题型:选择题

观察下列各式:a+b=1,a2+b2=3,a3+b3=4,a4+b4=7,a5+b5=11,…,则a10+b10=( )
A.28
B.76
C.123
D.199

查看答案和解析>>

科目: 来源:2012-2013学年吉林省长春十一高高二(下)期初数学试卷(文科)(解析版) 题型:选择题

由图1中的规律可判断图2问号处的图形应是( )

A.
B.
C.
D.

查看答案和解析>>

科目: 来源:2012-2013学年吉林省长春十一高高二(下)期初数学试卷(文科)(解析版) 题型:选择题

若x>0,y>0且,则xy有( )
A.最大值64
B.最小值
C.最小值
D.最小值64

查看答案和解析>>

科目: 来源:2012-2013学年吉林省长春十一高高二(下)期初数学试卷(文科)(解析版) 题型:选择题

设F1,F2是双曲线的两个焦点,P是双曲线上的一点,且3|PF1|=4|PF2|,则△PF1F2的面积等于( )
A.
B.
C.24
D.48

查看答案和解析>>

同步练习册答案