相关习题
 0  78965  78973  78979  78983  78989  78991  78995  79001  79003  79009  79015  79019  79021  79025  79031  79033  79039  79043  79045  79049  79051  79055  79057  79059  79060  79061  79063  79064  79065  79067  79069  79073  79075  79079  79081  79085  79091  79093  79099  79103  79105  79109  79115  79121  79123  79129  79133  79135  79141  79145  79151  79159  266669 

科目: 来源:2012-2013学年陕西省西安市长安区高三(上)第一次质量检测数学试卷(理科)(解析版) 题型:选择题

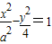
双曲线与抛物线y2=16x的准线交于A,B两点,,则双曲线的离心率为( )
A.
B.2
C.
D.4

查看答案和解析>>

科目: 来源:2012-2013学年陕西省西安市长安区高三(上)第一次质量检测数学试卷(理科)(解析版) 题型:选择题

执行程序框图,如果输入的n是5,则输出的p是( )

A.1
B.2
C.3
D.5

查看答案和解析>>

科目: 来源:2012-2013学年陕西省西安市长安区高三(上)第一次质量检测数学试卷(理科)(解析版) 题型:选择题

数列{an}的首项为3,{bn}为等差数列,已知b1=2,b3=6,bn=an+l-an(n∈N*),则a6=( )
A.30
B.33
C.35
D.38

查看答案和解析>>

科目: 来源:2012-2013学年陕西省西安市长安区高三(上)第一次质量检测数学试卷(理科)(解析版) 题型:选择题

在实数的原有运算法则中,我们补充定义新运算“⊕”:当 a≥b时,a⊕b=a;当a<b时,a⊕b=b2,函数f(x)=(1⊕x)•x,则函数f(x)的图象与x轴及直线x=2围成的面积为( )
A.
B.4
C.
D.8

查看答案和解析>>

科目: 来源:2012-2013学年陕西省西安市长安区高三(上)第一次质量检测数学试卷(理科)(解析版) 题型:填空题

已知向量满足||=3,||=2,的夹角为60°,则|-|=   

查看答案和解析>>

科目: 来源:2012-2013学年陕西省西安市长安区高三(上)第一次质量检测数学试卷(理科)(解析版) 题型:解答题

已知点P(x,y)在不等式组,表示的平面区域上运动,则Z=x-y的取值范围是______.

查看答案和解析>>

科目: 来源:2012-2013学年陕西省西安市长安区高三(上)第一次质量检测数学试卷(理科)(解析版) 题型:解答题

将5位志愿者分成4组,其中一组为2人,其余各组各1人,到4个路口协助交警执勤,则不同的分配方案有______种(用数字作答).

查看答案和解析>>

科目: 来源:2012-2013学年陕西省西安市长安区高三(上)第一次质量检测数学试卷(理科)(解析版) 题型:解答题

观察下列等式:

由以上各式推测第4个等式为______.

查看答案和解析>>

科目: 来源:2012-2013学年陕西省西安市长安区高三(上)第一次质量检测数学试卷(理科)(解析版) 题型:解答题

(考生注意:请在下列三题中任选一题作答,如果多做,则按所做的第一题评分)
A.(不等式选做题)不等式|x-5|+|x+3|≥10的解集是______.
B.(坐标系与参数方程选做题)在极坐标系中,圆ρ=-2sinθ的圆心的极坐标是______.
C.(几何证明选做题)如图,已知圆中两条弦AB与CD相交于点F,E是AB延长线上一点,且DF=CF=,BE=1,BF=2,若CE与圆相切,则线段CE的长为______

查看答案和解析>>

科目: 来源:2012-2013学年陕西省西安市长安区高三(上)第一次质量检测数学试卷(理科)(解析版) 题型:解答题

三角形的内角A、B、C的对边分别为a、b、c,已知cos(A-C)+cosB=1,a=2c.
(I)求C角的大小
(Ⅱ)若a=,求△ABC的面积.

查看答案和解析>>

同步练习册答案