相关习题
 0  78972  78980  78986  78990  78996  78998  79002  79008  79010  79016  79022  79026  79028  79032  79038  79040  79046  79050  79052  79056  79058  79062  79064  79066  79067  79068  79070  79071  79072  79074  79076  79080  79082  79086  79088  79092  79098  79100  79106  79110  79112  79116  79122  79128  79130  79136  79140  79142  79148  79152  79158  79166  266669 

科目: 来源:2011-2012学年山东省济南外国语学校高二(下)期中数学试卷(理科)(解析版) 题型:选择题

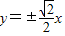
设双曲线的虚轴长为2,焦距为,则双曲线的渐近线方程为( )
A.
B.y=±2
C.
D.

查看答案和解析>>

科目: 来源:2011-2012学年山东省济南外国语学校高二(下)期中数学试卷(理科)(解析版) 题型:选择题

已知椭圆的中心在原点,离心率,且它的一个焦点与抛物线y2=-4x的焦点重合,则此椭圆方程为( )
A.
B.
C.
D.

查看答案和解析>>

科目: 来源:2011-2012学年山东省济南外国语学校高二(下)期中数学试卷(理科)(解析版) 题型:填空题

为向量,命题“若=,则||=||的逆否命题是   

查看答案和解析>>

科目: 来源:2011-2012学年山东省济南外国语学校高二(下)期中数学试卷(理科)(解析版) 题型:填空题

=(2x,1,3),=(1,-2y,9),且,则 x=    ,y=   

查看答案和解析>>

科目: 来源:2011-2012学年山东省济南外国语学校高二(下)期中数学试卷(理科)(解析版) 题型:填空题

抛物线y2=-12x上一点P到焦点F的距离等于9,则点P到y轴的距离   

查看答案和解析>>

科目: 来源:2011-2012学年山东省济南外国语学校高二(下)期中数学试卷(理科)(解析版) 题型:填空题

如图,已知椭圆的左顶点为A,左焦点为F,上顶点为B,若∠BAO+∠BFO=90°,则该椭圆的离心率是   

查看答案和解析>>

科目: 来源:2011-2012学年山东省济南外国语学校高二(下)期中数学试卷(理科)(解析版) 题型:解答题

已知命题P:关于x的不等式x2+(a-1)x+1≤0的解集为∅,命题q:方程+=1表示焦点在y轴上的椭圆,若命题¬q为真命题,p∨q为真命题,求实数a的取值范围.

查看答案和解析>>

科目: 来源:2011-2012学年山东省济南外国语学校高二(下)期中数学试卷(理科)(解析版) 题型:解答题

(1)焦点在x轴上的椭圆,短轴上的一个端点与两个焦点为同一个正三角形的顶点,焦点与椭圆上点的最近距离为,求椭圆标准方程.
(2)已知双曲线与椭圆+=1公共焦点,且以y=±x为渐近线,求双曲线方程.

查看答案和解析>>

科目: 来源:2011-2012学年山东省济南外国语学校高二(下)期中数学试卷(理科)(解析版) 题型:解答题

已知单位正方体ABCD-A1B1C1D1,E分别是棱C1D1的中点,试求:
(1)AE与平面BB1C1C所成的角的正弦值;
(2)二面角C1-DB-A的余弦值.

查看答案和解析>>

科目: 来源:2011-2012学年山东省济南外国语学校高二(下)期中数学试卷(理科)(解析版) 题型:解答题

已知抛物线C的方程为y=x2,过(0,1)点的直线l与C相交于点A,B,证明:OA⊥OB(O为坐标原点)

查看答案和解析>>

同步练习册答案