相关习题
 0  78983  78991  78997  79001  79007  79009  79013  79019  79021  79027  79033  79037  79039  79043  79049  79051  79057  79061  79063  79067  79069  79073  79075  79077  79078  79079  79081  79082  79083  79085  79087  79091  79093  79097  79099  79103  79109  79111  79117  79121  79123  79127  79133  79139  79141  79147  79151  79153  79159  79163  79169  79177  266669 

科目: 来源:2012-2013学年浙江省嘉兴市高二(下)期末数学试卷(文科)(解析版) 题型:选择题

设函数f(x)的导数f′(x),且f(x)=f′()cosx+sinx,则f′()=( )
A.1
B.0
C.
D.

查看答案和解析>>

科目: 来源:2012-2013学年浙江省嘉兴市高二(下)期末数学试卷(文科)(解析版) 题型:选择题

若直线x+y+m=0(m∈R)不可能是曲线f(x)=ax2+lnx的切线,则实数a的取值范围是( )
A.a≤0
B.
C.
D.a≥0

查看答案和解析>>

科目: 来源:2012-2013学年浙江省嘉兴市高二(下)期末数学试卷(文科)(解析版) 题型:选择题

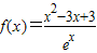
已知函数,则下列命题正确的是( )
A.对任意,方程f(x)=a只有一个实根
B.对任意,方程f(x)=a总有两个实根
C.对任意,总存在正数x,使得f(x)>a成立
D.对任意和正数x,总有f(x)>a成立

查看答案和解析>>

科目: 来源:2012-2013学年浙江省嘉兴市高二(下)期末数学试卷(文科)(解析版) 题型:填空题

已知i是虚数单位,z=i+2i2+3i3+4i4,则|z|=   

查看答案和解析>>

科目: 来源:2012-2013学年浙江省嘉兴市高二(下)期末数学试卷(文科)(解析版) 题型:填空题

若曲线y=xlnx上一点P到直线的距离最小,则点P的横坐标为   

查看答案和解析>>

科目: 来源:2012-2013学年浙江省嘉兴市高二(下)期末数学试卷(文科)(解析版) 题型:填空题

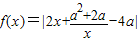
函数的单调递增区间是   

查看答案和解析>>

科目: 来源:2012-2013学年浙江省嘉兴市高二(下)期末数学试卷(文科)(解析版) 题型:填空题

已知i是虚数单位,则复数z1=a+bi,z2=b+ai(其中a>0,b∈R)满足,则z1=   

查看答案和解析>>

科目: 来源:2012-2013学年浙江省嘉兴市高二(下)期末数学试卷(文科)(解析版) 题型:填空题

已知实数x满足恒成立,则实数a的最小值为   

查看答案和解析>>

科目: 来源:2012-2013学年浙江省嘉兴市高二(下)期末数学试卷(文科)(解析版) 题型:填空题

已知函数,若f(x)在(0,+∞)上存在极大值点,则实数a的取值范围是   

查看答案和解析>>

科目: 来源:2012-2013学年浙江省嘉兴市高二(下)期末数学试卷(文科)(解析版) 题型:解答题

已知复数z=1+ai(a∈R),且z+i为实数,若复数(z+mi)2在复平面内对应的点在第一象限,求实数m的取值范围.

查看答案和解析>>

同步练习册答案