相关习题
 0  79005  79013  79019  79023  79029  79031  79035  79041  79043  79049  79055  79059  79061  79065  79071  79073  79079  79083  79085  79089  79091  79095  79097  79099  79100  79101  79103  79104  79105  79107  79109  79113  79115  79119  79121  79125  79131  79133  79139  79143  79145  79149  79155  79161  79163  79169  79173  79175  79181  79185  79191  79199  266669 

科目: 来源:2012-2013学年江西省赣州市十二县(市)高二(下)期中数学试卷(文科)(解析版) 题型:选择题

“x(x-5)<0成立”是“|x-1|<4成立”的( )
A.充分而不必要条件
B.必要而不充分条件
C.充分必要条件
D.既不充分也不必要条件

查看答案和解析>>

科目: 来源:2012-2013学年江西省赣州市十二县(市)高二(下)期中数学试卷(文科)(解析版) 题型:选择题

设a=30.3,b=log32,c=20.3,则( )
A.c<b<a
B.c<a<b
C.a<b<c
D.b<c<a

查看答案和解析>>

科目: 来源:2012-2013学年江西省赣州市十二县(市)高二(下)期中数学试卷(文科)(解析版) 题型:选择题

某流程如图所示,现输入如下四个函数,则可以输出的函数是( )

A.f(x)=cos
B.f(x)=
C.f(x)=sinx+x3
D.f(x)=lnx+2x-6

查看答案和解析>>

科目: 来源:2012-2013学年江西省赣州市十二县(市)高二(下)期中数学试卷(文科)(解析版) 题型:选择题

函数y=x+sin|x|,x∈[-π,π]的大致图象是( )
A.
B.
C.
D.

查看答案和解析>>

科目: 来源:2012-2013学年江西省赣州市十二县(市)高二(下)期中数学试卷(文科)(解析版) 题型:选择题

函数f(x)=log2x-x有( )个零点.
A.3个
B.2个
C.1个
D.0个

查看答案和解析>>

科目: 来源:2012-2013学年江西省赣州市十二县(市)高二(下)期中数学试卷(文科)(解析版) 题型:选择题

已知P为椭圆(a>b>0)上一点,F1,F2是椭圆的左、右焦点,若使△PF1F2为直角三角形的点P有且只有4个,则椭圆离心率的取值范围是( )
A.(0,
B.(,1)
C.(1,
D.(,+∞)

查看答案和解析>>

科目: 来源:2012-2013学年江西省赣州市十二县(市)高二(下)期中数学试卷(文科)(解析版) 题型:选择题

设M是又满足下列性质的函数f(x)构成的集合:在定义域存中在x,使得f(x+1)=f(x)+f(1)成立已知下列函数:
①f(x)=;②f(x)=2x;③f(x)=lg(x2+2);④f(x)=cosπx,其中属于集合M的函数是( )
A.①③
B.②③
C.③④
D.②④

查看答案和解析>>

科目: 来源:2012-2013学年江西省赣州市十二县(市)高二(下)期中数学试卷(文科)(解析版) 题型:填空题

观察下列等式
1=1
3+5=8
7+9+11=27
13+15+17+19=64
照此规律,第6个等式应为   

查看答案和解析>>

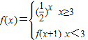
科目: 来源:2012-2013学年江西省赣州市十二县(市)高二(下)期中数学试卷(文科)(解析版) 题型:填空题

   

查看答案和解析>>

科目: 来源:2012-2013学年江西省赣州市十二县(市)高二(下)期中数学试卷(文科)(解析版) 题型:填空题

给出函数,则f(log23)=   

查看答案和解析>>

同步练习册答案