相关习题
 0  79020  79028  79034  79038  79044  79046  79050  79056  79058  79064  79070  79074  79076  79080  79086  79088  79094  79098  79100  79104  79106  79110  79112  79114  79115  79116  79118  79119  79120  79122  79124  79128  79130  79134  79136  79140  79146  79148  79154  79158  79160  79164  79170  79176  79178  79184  79188  79190  79196  79200  79206  79214  266669 

科目: 来源:2011-2012学年广西桂林中学高二(上)期中数学试卷(解析版) 题型:选择题

若直线2ax-by+2=0(a>0,b>0)恰好平分圆x2+y2+2x-4y+1=0的面积,则的最小值( )
A.
B.
C.2
D.4

查看答案和解析>>

科目: 来源:2011-2012学年广西桂林中学高二(上)期中数学试卷(解析版) 题型:选择题

直线ax+by=1与圆x2+y2=1相交,则P(a,b)的位置是( )
A.在圆上
B.在圆外
C.在圆内
D.都有可能

查看答案和解析>>

科目: 来源:2011-2012学年广西桂林中学高二(上)期中数学试卷(解析版) 题型:选择题

已知圆C:(x-a)2+(y-2)2=4(a>0)及直线l:x-y+3=0,当直线l被C截得弦长为2时,则a等于( )
A.
B.2-
C.-1
D.+1

查看答案和解析>>

科目: 来源:2011-2012学年广西桂林中学高二(上)期中数学试卷(解析版) 题型:选择题

设F1,F2分别是椭圆(a>b>0)的左、右焦点,若在其右准线上存在P,使线段PF1的中垂线过点F2,则椭圆离心率的取值范围是( )
A.
B.
C.
D.

查看答案和解析>>

科目: 来源:2011-2012学年广西桂林中学高二(上)期中数学试卷(解析版) 题型:填空题

不等式|x2-3x|>4的解集是   

查看答案和解析>>

科目: 来源:2011-2012学年广西桂林中学高二(上)期中数学试卷(解析版) 题型:填空题

过点(1,2)引圆x2+y2=1的切线方程为   

查看答案和解析>>

科目: 来源:2011-2012学年广西桂林中学高二(上)期中数学试卷(解析版) 题型:填空题

已知椭圆C:mx2+4y2=4m的离心率是,则m的值为   

查看答案和解析>>

科目: 来源:2011-2012学年广西桂林中学高二(上)期中数学试卷(解析版) 题型:填空题

已知与圆C:x2+y2-2x-2y+1=0相切的直线交x轴于A点,交y轴于B点,O为原点,|OA|=a,|OB|=b(a>2,b>2).则线段AB中点的轨迹方程为   

查看答案和解析>>

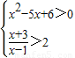
科目: 来源:2011-2012学年广西桂林中学高二(上)期中数学试卷(解析版) 题型:解答题

解不等式组  

查看答案和解析>>

科目: 来源:2011-2012学年广西桂林中学高二(上)期中数学试卷(解析版) 题型:解答题

已知圆过两点A(3,1)、B(-1,3),且它的圆心在直线3x-y-2=0上,求此圆的方程.

查看答案和解析>>

同步练习册答案