相关习题
 0  79039  79047  79053  79057  79063  79065  79069  79075  79077  79083  79089  79093  79095  79099  79105  79107  79113  79117  79119  79123  79125  79129  79131  79133  79134  79135  79137  79138  79139  79141  79143  79147  79149  79153  79155  79159  79165  79167  79173  79177  79179  79183  79189  79195  79197  79203  79207  79209  79215  79219  79225  79233  266669 

科目: 来源:2011-2012学年四川省绵阳市南山中学高一(下)期中数学试卷(解析版) 题型:填空题

=4,的夹角为30°,则方向上的投影为   

查看答案和解析>>

科目: 来源:2011-2012学年四川省绵阳市南山中学高一(下)期中数学试卷(解析版) 题型:填空题

在△ABC中,已知三边a,b,c满足(a+b+c)(a+b-c)=3ab,则∠C=   

查看答案和解析>>

科目: 来源:2011-2012学年四川省绵阳市南山中学高一(下)期中数学试卷(解析版) 题型:填空题

设Sn是等比数列{an}的前n项和,且,则m=   

查看答案和解析>>

科目: 来源:2011-2012学年四川省绵阳市南山中学高一(下)期中数学试卷(解析版) 题型:填空题

图中的三角形称为谢宾斯基(Sierpinski)三角形.在下图4个三角形中,着色三角形的个数依次构成一个数列的前4项,则这个数列的一个通项公式为   

查看答案和解析>>

科目: 来源:2011-2012学年四川省绵阳市南山中学高一(下)期中数学试卷(解析版) 题型:解答题

已知向量满足,且(2
(1)求向量的坐标;     
(2)求向量的夹角.

查看答案和解析>>

科目: 来源:2011-2012学年四川省绵阳市南山中学高一(下)期中数学试卷(解析版) 题型:解答题

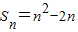
设数列{an}的前n项和为
(1)求an
(2)

查看答案和解析>>

科目: 来源:2011-2012学年四川省绵阳市南山中学高一(下)期中数学试卷(解析版) 题型:解答题

已知向量=(sinA,sinB),=(cosB,cosA),=sin2C,且A、B、C分别为△ABC三边a、b、c所对的角.
(1)求角C的大小;
(2)若sinA、sinC、sinB成等差数列,且sinB=18,求c边的长.

查看答案和解析>>

科目: 来源:2011-2012学年四川省绵阳市南山中学高一(下)期中数学试卷(解析版) 题型:解答题

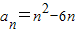
对于数列{an},定义{△an}为数列{an}的一阶差分数列,其中;对k≥2,k∈N*,定义{△kan}为{an}的k阶差分数列,其中
(1)若数列{an}的通项公式为,分别求出其一阶差分数列{△an}、二阶差分数列{△2an}的通项公式;
(2)若数列{an}首项a1=1,且满足,求出数列{an}的通项公式an及前n项和Sn

查看答案和解析>>

科目: 来源:2011-2012学年四川省绵阳市南山中学高一(下)期中数学试卷(解析版) 题型:解答题

已知O为△ABC的外心,以线段OA、OB为邻边作平行四边形,第四个顶点为D,再以OC、OD为邻边作平行四边形,它的第四个顶点为H.
(1)若,试用表示
(2)证明:
(3)若△ABC的∠A=60°,∠B=45°,外接圆的半径为R,用R表示

查看答案和解析>>

科目: 来源:2012-2013学年北京市东城区(南片)高二(上)期末数学试卷(理科)(解析版) 题型:选择题

一个单位有职工800人,其中具有高级职称的160人,具有中级职称的320人,具有初级职称的200人,其余人员120人,为了解职工收入情况,决定采用分层抽样的方法从中抽取样本.若样本中具有初级职称的职工为10人,则样本容量为( )
A.10
B.20
C.40
D.50

查看答案和解析>>

同步练习册答案