相关习题
 0  79063  79071  79077  79081  79087  79089  79093  79099  79101  79107  79113  79117  79119  79123  79129  79131  79137  79141  79143  79147  79149  79153  79155  79157  79158  79159  79161  79162  79163  79165  79167  79171  79173  79177  79179  79183  79189  79191  79197  79201  79203  79207  79213  79219  79221  79227  79231  79233  79239  79243  79249  79257  266669 

科目: 来源:2011-2012学年北京四中高二(上)期中数学试卷(解析版) 题型:选择题

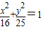
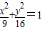
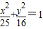
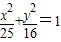
若椭圆的对称轴为坐标轴,长轴长与短轴长的和为18,焦距为6,则椭圆的方程为( )
A.
B.
C.
D.以上都不对

查看答案和解析>>

科目: 来源:2011-2012学年北京四中高二(上)期中数学试卷(解析版) 题型:选择题

圆:x2+y2-2x-2y+1=0上的点到直线x-y=2的距离最大值是( )
A.2
B.
C.
D.

查看答案和解析>>

科目: 来源:2011-2012学年北京四中高二(上)期中数学试卷(解析版) 题型:选择题

若直线l:ax+by=1与圆C:x2+y2=1有两个不同交点,则点P(a,b)与圆C的位置关系是( )
A.点在圆上
B.点在圆内
C.点在圆外
D.不能确定

查看答案和解析>>

科目: 来源:2011-2012学年北京四中高二(上)期中数学试卷(解析版) 题型:选择题

若中心在原点,焦点坐标为(0,±5)的椭圆被直线3x-y-2=0截得的弦的中点的横坐标为,则椭圆方程为( )
A.+=1
B.+=1
C.
D.

查看答案和解析>>

科目: 来源:2011-2012学年北京四中高二(上)期中数学试卷(解析版) 题型:选择题

若圆x2+y2-4x-4y-10=0上至少有三个不同的点到直线l:ax+by=0的距离为,则直线l的倾斜角的取值范围是( )
A.
B.
C.
D.

查看答案和解析>>

科目: 来源:2011-2012学年北京四中高二(上)期中数学试卷(解析版) 题型:填空题

直线y=3x-3绕着它与x轴的交点顺时针旋转所得的直线方程为   

查看答案和解析>>

科目: 来源:2011-2012学年北京四中高二(上)期中数学试卷(解析版) 题型:填空题

若焦点在x轴上的椭圆x2+=1的离心率为,则m的值是   

查看答案和解析>>

科目: 来源:2011-2012学年北京四中高二(上)期中数学试卷(解析版) 题型:填空题

已知圆C:x2+y2+2x-4y+m=0与直线l:y=x+2相切,且圆D与圆C关于直线l对称,则圆D的方程是   

查看答案和解析>>

科目: 来源:2011-2012学年北京四中高二(上)期中数学试卷(解析版) 题型:填空题

已知直线y=2x+b与曲线y=有且仅有一个公共点,则b的范围是   

查看答案和解析>>

科目: 来源:2011-2012学年北京四中高二(上)期中数学试卷(解析版) 题型:解答题

已知O为坐标原点,△AOB中,边OA所在的直线方程是y=3x,边AB所在的直线方程是y=-,且顶点B的横坐标为6.
(1)求△AOB中,与边AB平行的中位线所在直线的方程;
(2)求△AOB的面积;
(3)已知OB上有点D,满足△AOD与△ABD的面积比为2,求AD所在的直线方程.

查看答案和解析>>

同步练习册答案