相关习题
 0  79104  79112  79118  79122  79128  79130  79134  79140  79142  79148  79154  79158  79160  79164  79170  79172  79178  79182  79184  79188  79190  79194  79196  79198  79199  79200  79202  79203  79204  79206  79208  79212  79214  79218  79220  79224  79230  79232  79238  79242  79244  79248  79254  79260  79262  79268  79272  79274  79280  79284  79290  79298  266669 

科目: 来源:2011-2012学年北京四中高一(上)期中数学试卷(解析版) 题型:选择题

设函数y=x3与y=(x的图象的交点为(x,y),则x所在的区间是( )
A.(0,1)
B.(1,2)
C.(2,3)
D.(3,4)

查看答案和解析>>

科目: 来源:2011-2012学年北京四中高一(上)期中数学试卷(解析版) 题型:选择题

已知函数f(x)是R上的偶函数,当x≥0时f(x)=x-1,则f(x)<0的解集是( )
A.(-1,0)
B.(0,1)
C.(-1,1)
D.(-∞,-1)∪(1,+∞)

查看答案和解析>>

科目: 来源:2011-2012学年北京四中高一(上)期中数学试卷(解析版) 题型:选择题

某商店同时卖出两套西服,售价均为168元,以成本计算,一套盈利20%,另一套亏损20%,此时商店( )
A.不亏不盈
B.盈利37.2元
C.盈利14元
D.亏损14元

查看答案和解析>>

科目: 来源:2011-2012学年北京四中高一(上)期中数学试卷(解析版) 题型:选择题

f(x)为(-∞,+∞)上的减函数,a∈R,则( )
A.f(a)<f(2a)
B.f(a2)<f(a)
C.f(a2+1)<f(a)
D.f(a2+a)<f(a)

查看答案和解析>>

科目: 来源:2011-2012学年北京四中高一(上)期中数学试卷(解析版) 题型:填空题

log64+log69-8=   

查看答案和解析>>

科目: 来源:2011-2012学年北京四中高一(上)期中数学试卷(解析版) 题型:填空题

已知函数y=f(x)为奇函数,若f(3)-f(2)=1,则f(-2)-f(-3)=   

查看答案和解析>>

科目: 来源:2011-2012学年北京四中高一(上)期中数学试卷(解析版) 题型:填空题

若函数f(x)=-2x+3在[0,m]有最大值3,最小值1,则m的取值范围是   

查看答案和解析>>

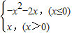
科目: 来源:2011-2012学年北京四中高一(上)期中数学试卷(解析版) 题型:填空题

已知函数f(x)=,若函数g(x)=f(x)-m有3个零点,则实数m的取值范围是   

查看答案和解析>>

科目: 来源:2011-2012学年北京四中高一(上)期中数学试卷(解析版) 题型:解答题

已知:函数f(x)=+lg(3x-9)的定义域为A,集合B={x|x-a<0,a∈R}
(Ⅰ)求函数f(x)的定义域;
(Ⅱ)求A∩B.

查看答案和解析>>

科目: 来源:2011-2012学年北京四中高一(上)期中数学试卷(解析版) 题型:解答题

已知函数f(x)=x2-bx+3,且f(0)=f(4).
(1)求函数y=f(x)的零点,写出满足条件f(x)<0的x的集合;
(2)求函数y=f(x)在区间[0,3]上的最大值和最小值.

查看答案和解析>>

同步练习册答案