相关习题
 0  79110  79118  79124  79128  79134  79136  79140  79146  79148  79154  79160  79164  79166  79170  79176  79178  79184  79188  79190  79194  79196  79200  79202  79204  79205  79206  79208  79209  79210  79212  79214  79218  79220  79224  79226  79230  79236  79238  79244  79248  79250  79254  79260  79266  79268  79274  79278  79280  79286  79290  79296  79304  266669 

科目: 来源:2010-2011学年浙江省嘉兴一中高一(上)期中数学试卷(解析版) 题型:填空题

已知,则m=   

查看答案和解析>>

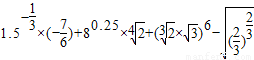
科目: 来源:2010-2011学年浙江省嘉兴一中高一(上)期中数学试卷(解析版) 题型:填空题

计算=   

查看答案和解析>>

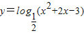
科目: 来源:2010-2011学年浙江省嘉兴一中高一(上)期中数学试卷(解析版) 题型:填空题

函数的单调增区间为   

查看答案和解析>>

科目: 来源:2010-2011学年浙江省嘉兴一中高一(上)期中数学试卷(解析版) 题型:填空题

若0<a<1,b<-1,则函数f(x)=ax+b的图象不经过第    象限.

查看答案和解析>>

科目: 来源:2010-2011学年浙江省嘉兴一中高一(上)期中数学试卷(解析版) 题型:填空题

设f(x)是定义在R上的奇函数,且x>0时,f(x)=x2+1,则当x<0时,f(x)=   

查看答案和解析>>

科目: 来源:2010-2011学年浙江省嘉兴一中高一(上)期中数学试卷(解析版) 题型:填空题

定义在R上的奇函数f(x)为减函数,若a+b≤0,给出下列不等式:
①f(a)•f(-a)≤0;           
②f(a)+f(b)≤f(-a)+f(-b);
③f(b)•f(-b)≥0;            
④f(a)+f(b)≥f(-a)+f(-b).
其中正确的是    (把你认为正确的不等式的序号全写上).

查看答案和解析>>

科目: 来源:2010-2011学年浙江省嘉兴一中高一(上)期中数学试卷(解析版) 题型:填空题

下列几个命题
①方程x2+(a-3)x+a=0的有一个正实根,一个负实根,则a<0.
②函数是偶函数,但不是奇函数.
③函数f(x)的值域是[-2,2],则函数f(x+1)的值域为[-3,1].
④设函数y=f(x)定义域为R且满足f(x-1)=f(1-x),则函数y=f(x)的图象关于y轴对称.
⑤曲线y=|3-x2|和直线y=a(a∈R)的公共点个数是m,则m的值不可能是1.
其中正确的有   

查看答案和解析>>

科目: 来源:2010-2011学年浙江省嘉兴一中高一(上)期中数学试卷(解析版) 题型:解答题

已知集合A={x|-2<x<3},B={x|m<x<m+9},若(∁RA)∩B=B.求实数m的取值范围.

查看答案和解析>>

科目: 来源:2010-2011学年浙江省嘉兴一中高一(上)期中数学试卷(解析版) 题型:解答题

若f(x)是定义在(0,+∞)上的增函数,且=f(x)-f(y)
(1)求f(1)的值; 
(2)若f(6)=1,解不等式f(x+3)-<2.

查看答案和解析>>

科目: 来源:2010-2011学年浙江省嘉兴一中高一(上)期中数学试卷(解析版) 题型:解答题

嘉兴市秀洲区为促进淡水鱼养殖业的发展,将价格控制在适当范围内,并决定对淡水鱼养殖提供政府补贴.设淡水鱼的市场价格为x元/kg,政府补贴为t元/kg.根据市场调查,当8≤x≤14时,淡水鱼的市场日供应量Pkg与市场日需求量Qkg近似满足关系:P=1000(x+t-8)(x≥8,t≥0),;当P=Q时的市场价格称为市场平衡价格.
(1)将政府补贴费表示为市场平衡价格的函数,并求出函数的定义域;
(2)为使市场平衡价格不高于10元/kg,政府需要补贴吗?如果需要,至少为多少元/kg?

查看答案和解析>>

同步练习册答案