相关习题
 0  79119  79127  79133  79137  79143  79145  79149  79155  79157  79163  79169  79173  79175  79179  79185  79187  79193  79197  79199  79203  79205  79209  79211  79213  79214  79215  79217  79218  79219  79221  79223  79227  79229  79233  79235  79239  79245  79247  79253  79257  79259  79263  79269  79275  79277  79283  79287  79289  79295  79299  79305  79313  266669 

科目: 来源:2009-2010学年福建省三明市高一(上)期末数学试卷(解析版) 题型:选择题

下列函数在(-1,1)内既是奇函数又是增函数的是( )
A.
B.y=log2
C.y=sin
D.y=(x+2)2

查看答案和解析>>

科目: 来源:2009-2010学年福建省三明市高一(上)期末数学试卷(解析版) 题型:选择题

2009年7月1日老王到银行存入一年期款m万元,如果银行的年利率为a,以复利方式计息,则2014年7月1日老王可取款(不及利息税)( )
A.m+(1+a5)万元
B.m(1+a)5万元
C.m(1+a)4万元
D.m(1+a5)万元

查看答案和解析>>

科目: 来源:2009-2010学年福建省三明市高一(上)期末数学试卷(解析版) 题型:选择题

下列四个数中最大的是( )
A.2lg2
B.lg2
C.(lg2)2
D.lg(lg2)

查看答案和解析>>

科目: 来源:2009-2010学年福建省三明市高一(上)期末数学试卷(解析版) 题型:选择题

已知其中,则sin(α+β)的值为( )
A.
B.
C.1
D.-1

查看答案和解析>>

科目: 来源:2009-2010学年福建省三明市高一(上)期末数学试卷(解析版) 题型:选择题

函数y=Asin(ωx+ϕ)在一个周期内的图象如图,此函数的解析式为( )

A.
B.
C.
D.

查看答案和解析>>

科目: 来源:2009-2010学年福建省三明市高一(上)期末数学试卷(解析版) 题型:选择题

已知定义在R上的函数f(x)满足(x1-x2)[f(x1)-f(x2)]<0,若c<b<a,f(a)f(b)f(c)<0,则实数d是函数f(x)的一个零点,给出下列判断:
①d<c②c<d<b③b<d<a④d>a
其中可能成立的个数为( )
A.1
B.2
C.3
D.4

查看答案和解析>>

科目: 来源:2009-2010学年福建省三明市高一(上)期末数学试卷(解析版) 题型:填空题

若向量满足||=3,||=2,=3,则的夹角为   

查看答案和解析>>

科目: 来源:2009-2010学年福建省三明市高一(上)期末数学试卷(解析版) 题型:填空题

计算:=   

查看答案和解析>>

科目: 来源:2009-2010学年福建省三明市高一(上)期末数学试卷(解析版) 题型:填空题

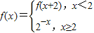
如果函数,则f(1)的值为   

查看答案和解析>>

科目: 来源:2009-2010学年福建省三明市高一(上)期末数学试卷(解析版) 题型:填空题

已知,则tan2x=   

查看答案和解析>>

同步练习册答案