相关习题
0 79149 79157 79163 79167 79173 79175 79179 79185 79187 79193 79199 79203 79205 79209 79215 79217 79223 79227 79229 79233 79235 79239 79241 79243 79244 79245 79247 79248 79249 79251 79253 79257 79259 79263 79265 79269 79275 79277 79283 79287 79289 79293 79299 79305 79307 79313 79317 79319 79325 79329 79335 79343 266669
科目:
来源:2012-2013学年江苏省南京市高二(下)期中数学试卷(文科)(解析版)
题型:填空题
已知函数f(x)是定义在R上的偶函数,对任意的x∈R都有f(x+4)=f(x)+f(2)成立,若f(1)=2,则f(2013)= .
查看答案和解析>>
科目:
来源:2012-2013学年江苏省南京市高二(下)期中数学试卷(文科)(解析版)
题型:填空题
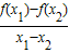
已知函数f(x)=

对任意x
1≠x
2,都有

>0成立,则实数k的取值范围是
.
查看答案和解析>>
科目:
来源:2012-2013学年江苏省南京市高二(下)期中数学试卷(文科)(解析版)
题型:填空题
已知函数f(x)=2x2+m的图象与函数g(x)=ln|x|的图象有四个交点,则实数m的取值范围为 .
查看答案和解析>>
科目:
来源:2012-2013学年江苏省南京市高二(下)期中数学试卷(文科)(解析版)
题型:解答题
已知集合A={x|x2-3x+2>0},B={x|x2-(a+1)x+a≤0,a>1}.
(1)求集合A,B;
(2)若(∁RA)∪B=B,求实数a的取值范围.
查看答案和解析>>
科目:
来源:2012-2013学年江苏省南京市高二(下)期中数学试卷(文科)(解析版)
题型:解答题
为传承奥运精神,普及青奥知识,我校对全校学生进行了一次青奥知识测试,从中随机抽取容量为100的学生成绩样本,得频率分布表如下:
| 组号 | 分组 | 频数 | 频率 |
| 第一组 | [60,80) | 16 | 0.16 |
| 第二组 | [80,100) | ① | 0.24 |
| 第三组 | [100,120) | 30 | ② |
| 第四组 | [120,140) | 20 | 0.20 |
| 第五组 | [140,160) | 10 | 0.10 |
| 合 计 | 100 | 1.00 |
(1)写出表中①②位置的数据;
(2)为了选拔出更优秀的学生进行青奥知识宣传,我校决定在第三、四、五组中用分层抽样法抽取12名学生进行第二轮考核,分别求第三、四、五各组参加考核的人数.
查看答案和解析>>
科目:
来源:2012-2013学年江苏省南京市高二(下)期中数学试卷(文科)(解析版)
题型:解答题
已知关于x的一元二次方程x2-2ax+b2=0.
(1)若a是从0、1、2、3四个数中任取的一个数,b是从0、1、2三个数中任取的一个数,求上述方程没有实根的概率;
(2)若a是从区间[0,3]内任取的一个数,b是从区间[0,2]内任取的一个数,求上述方程没有实根的概率.
查看答案和解析>>
科目:
来源:2012-2013学年江苏省南京市高二(下)期中数学试卷(文科)(解析版)
题型:解答题
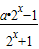
已知函数f(x)=

是奇函数.
(1)求实数a的值;
(2)判断并证明f(x)的单调性;
(3)若对?x∈[0,1],不等式f(x)≤t-x恒成立,求实数t的取值范围.
查看答案和解析>>
科目:
来源:2012-2013学年江苏省南京市高二(下)期中数学试卷(文科)(解析版)
题型:解答题
在平面直角坐标系xOy中,已知椭圆E:

(a>b>0)的离心率为

,一条准线方程为x=4.
(1)求椭圆E的标准方程;
(2)若点A,B分别是椭圆E的左、右顶点,直线l经过点B且垂直于x轴,点P是椭圆上异于A,B的任意一点,直线AP交l于点M,设直线OM的斜率为k
1,直线BP的斜率为k
2,求证:k
1k
2为定值.

查看答案和解析>>
科目:
来源:2012-2013学年江苏省南京市高二(下)期中数学试卷(文科)(解析版)
题型:解答题
已知定义域为R的奇函数f(x),当x>0时,f(x)=lnx.
(1)求函数f(x)的解析式;
(2)若函数h(x)=f(x)+

在[1,e]上的最小值为3,求a的值;
(3)若存在x
∈[1,+∞),使得f(x
)>x
2+

,求实数a的取值范围.
查看答案和解析>>
科目:
来源:2011-2012学年山东省淄博市恒台二中高一(上)期末数学试卷(解析版)
题型:选择题
若集合M={x|x>2或x<-2},N={x|x>m},M∪N=R,则m的取值范围是( )
A.m≤-2
B.m<-2
C.m>-2
D.m≥-2
查看答案和解析>>