相关习题
 0  79191  79199  79205  79209  79215  79217  79221  79227  79229  79235  79241  79245  79247  79251  79257  79259  79265  79269  79271  79275  79277  79281  79283  79285  79286  79287  79289  79290  79291  79293  79295  79299  79301  79305  79307  79311  79317  79319  79325  79329  79331  79335  79341  79347  79349  79355  79359  79361  79367  79371  79377  79385  266669 

科目: 来源:2012-2013学年浙江省绍兴市高一(下)期末数学模拟试卷(解析版) 题型:解答题

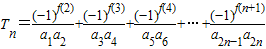
已知数列{an}中的相邻两项a2k-1,a2k是关于x的方程x2-(3k+2k)x+3k•2k=0的两个根,且a2k-1≤a2k(k=1,2,3,…).
(I)求a1,a3,a5,a7
(II)求数列{an}的前2n项和S2n
(Ⅲ)记,求证:

查看答案和解析>>

科目: 来源:2012-2013学年甘肃省白银市会宁三中高二(上)期末数学试卷(文科)(解析版) 题型:选择题

命题p:a2+b2<0(a,b∈R);命题q:(a-2)2+|b-3|≥0(a,b∈R),下列结论正确的是( )
A.“p∨q”为真
B.“p∧q”为真
C.“¬p”为假
D.“¬q”为真

查看答案和解析>>

科目: 来源:2012-2013学年甘肃省白银市会宁三中高二(上)期末数学试卷(文科)(解析版) 题型:选择题

椭圆+=1上一点P到它一个焦点的距离是7,则P到另一个焦点的距离是( )
A.17
B.15
C.3
D.1

查看答案和解析>>

科目: 来源:2012-2013学年甘肃省白银市会宁三中高二(上)期末数学试卷(文科)(解析版) 题型:选择题

若a,b,c∈R,且a>b,则下列不等式一定成立的是( )
A.a+c≥b-c
B.ac>bc
C.>0
D.(a-b)c2≥0

查看答案和解析>>

科目: 来源:2012-2013学年甘肃省白银市会宁三中高二(上)期末数学试卷(文科)(解析版) 题型:选择题

中心在原点,焦点在x轴上的双曲线的一条渐近线经过点(4,2),则它的离心率为( )
A.
B.
C.
D.

查看答案和解析>>

科目: 来源:2012-2013学年甘肃省白银市会宁三中高二(上)期末数学试卷(文科)(解析版) 题型:选择题

在△ABC中,a=2,b=,B=,则A等于( )
A.
B.
C.
D.

查看答案和解析>>

科目: 来源:2012-2013学年甘肃省白银市会宁三中高二(上)期末数学试卷(文科)(解析版) 题型:选择题

若k∈R,则“k>3”是“方程-=1表示双曲线”的( )
A.充分不必要条件
B.必要不充分条件
C.充要条件
D.既不充分也不必要条件

查看答案和解析>>

科目: 来源:2012-2013学年甘肃省白银市会宁三中高二(上)期末数学试卷(文科)(解析版) 题型:选择题

设P为双曲线上的一点,F1,F2是该双曲线的两个焦点,若|PF1|:|PF2|=3:2,则△PF1F2的面积为( )
A.
B.12
C.
D.24

查看答案和解析>>

科目: 来源:2012-2013学年甘肃省白银市会宁三中高二(上)期末数学试卷(文科)(解析版) 题型:选择题

已知点A(3,4),F是抛物线y2=8x的焦点,M是抛物线上的动点,当|MA|+|MF|最小时,M点坐标是( )
A.(0,0)
B.(3,2
C.(2,4)
D.(3,-2

查看答案和解析>>

科目: 来源:2012-2013学年甘肃省白银市会宁三中高二(上)期末数学试卷(文科)(解析版) 题型:选择题

函数在区间[0,1]上是增函数,则a的取值范围为( )
A.a>0
B.a<0
C.a≥0
D.a≤0

查看答案和解析>>

同步练习册答案