相关习题
 0  79243  79251  79257  79261  79267  79269  79273  79279  79281  79287  79293  79297  79299  79303  79309  79311  79317  79321  79323  79327  79329  79333  79335  79337  79338  79339  79341  79342  79343  79345  79347  79351  79353  79357  79359  79363  79369  79371  79377  79381  79383  79387  79393  79399  79401  79407  79411  79413  79419  79423  79429  79437  266669 

科目: 来源:2011-2012学年山东省泰安市高三(上)期中数学试卷(理科)(解析版) 题型:选择题

已知全集U={1,2,3,4,5},集合A={2,5},B={4,5},则∁U(A∪B)等于( )
A.{1,2,3,4}
B.{1,3}
C.{2,4,5}
D.{5}

查看答案和解析>>

科目: 来源:2011-2012学年山东省泰安市高三(上)期中数学试卷(理科)(解析版) 题型:选择题

命题?x∈R,x2-x≥0的否定是( )
A.?x∈R,x2-x≥0
B.?x∈R,x2-x≥0
C.?x∈R,x2-x<0
D.?x∈R,x2-x<0

查看答案和解析>>

科目: 来源:2011-2012学年山东省泰安市高三(上)期中数学试卷(理科)(解析版) 题型:选择题

已知等差数列{an}的前n项和为Sn,且满足-=1,则数列{an}的公差是( )
A.
B.1
C.2
D.3

查看答案和解析>>

科目: 来源:2011-2012学年山东省泰安市高三(上)期中数学试卷(理科)(解析版) 题型:选择题

已知lga+lgb=0(a>1)在同一坐标系中,函数y=ax与y=logbx的图象是下图中的( )
A.
B.
C.
D.

查看答案和解析>>

科目: 来源:2011-2012学年山东省泰安市高三(上)期中数学试卷(理科)(解析版) 题型:选择题

已知平面向量满足的夹角为60°,若,则实数m的值为( )
A.1
B.
C.2
D.3

查看答案和解析>>

科目: 来源:2011-2012学年山东省泰安市高三(上)期中数学试卷(理科)(解析版) 题型:选择题

已知函数y=f(x)是偶函数,y=f(x-2)在[0,2]上是单调减函数,则( )
A.f(0)<f(-1)<f(2)
B.f(-1)<f(0)<f(2)
C.f(-1)<f(2)<f(0)
D.f(2)<f(-1)<f(0)

查看答案和解析>>

科目: 来源:2011-2012学年山东省泰安市高三(上)期中数学试卷(理科)(解析版) 题型:选择题

由直线,x=2,曲线及x轴所围图形的面积为( )
A.
B.
C.
D.2ln2

查看答案和解析>>

科目: 来源:2011-2012学年山东省泰安市高三(上)期中数学试卷(理科)(解析版) 题型:选择题

点P从(2,0)出发,沿圆x2+y2=4按逆时针方向运动弧长到达点Q,则点Q的坐标为( )
A.
B.
C.
D.

查看答案和解析>>

科目: 来源:2011-2012学年山东省泰安市高三(上)期中数学试卷(理科)(解析版) 题型:选择题

已知函数y=sin(ωx+φ)的部分图象如图所示,则点P(ω,φ)的坐标为( )

A.
B.
C.
D.

查看答案和解析>>

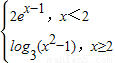
科目: 来源:2011-2012学年山东省泰安市高三(上)期中数学试卷(理科)(解析版) 题型:选择题

设f(x)=则不等式f(x)<2的解集为( )
A.(,+∞)
B.(-∞,1)∪[2,
C.(1,2]∪(,+∞)
D.(1,

查看答案和解析>>

同步练习册答案