相关习题
 0  79265  79273  79279  79283  79289  79291  79295  79301  79303  79309  79315  79319  79321  79325  79331  79333  79339  79343  79345  79349  79351  79355  79357  79359  79360  79361  79363  79364  79365  79367  79369  79373  79375  79379  79381  79385  79391  79393  79399  79403  79405  79409  79415  79421  79423  79429  79433  79435  79441  79445  79451  79459  266669 

科目: 来源:2011-2012学年广东省广州市增城市高一(上)期末数学试卷(解析版) 题型:填空题

某学校举办运动会时,高一(1)班共有26名学生参加比赛,有15人参加游泳比赛,有8人参加田径比赛,有14人参加球类比赛,同时参加游泳比赛和田径比赛的有3人,同时游泳比赛和球类比赛的有3人,没有人同时参加三项比赛,则同时参加球类比赛和田径比赛的学生有    人.

查看答案和解析>>

科目: 来源:2011-2012学年广东省广州市增城市高一(上)期末数学试卷(解析版) 题型:解答题

(1)计算:2××
(2)计算:2log510+log50.25.

查看答案和解析>>

科目: 来源:2011-2012学年广东省广州市增城市高一(上)期末数学试卷(解析版) 题型:解答题

求满足下列条件的直线的方程.
(1)经过点A(3,2),且与直线4x+y-2=0平行;
(2)经过点B(3,0),且与直线2x+y-5=0垂直.

查看答案和解析>>

科目: 来源:2011-2012学年广东省广州市增城市高一(上)期末数学试卷(解析版) 题型:解答题

如图,正方体ABCD-A1B1C1D1中,M,N,E,F分别是棱A1B1,A1D1,B1C1,C1D1的中点.
(1)求证:直线MN∥平面EFDB;
(2)求证:平面AMN∥平面EFDB.

查看答案和解析>>

科目: 来源:2011-2012学年广东省广州市增城市高一(上)期末数学试卷(解析版) 题型:解答题

已知矩形ABCD的周长为l,面积为a.
(1)当l=4时,求面积a的最大值;
(2)当a=4时,求周长l的最小值.

查看答案和解析>>

科目: 来源:2011-2012学年广东省广州市增城市高一(上)期末数学试卷(解析版) 题型:解答题

如图:在四棱锥V-ABCD中,底面ABCD是边长为2的正方形,其它四个侧面都是侧棱长为的等腰三角形.
(1)求二面角V-AB-C的平面角的大小;
(2)求四棱锥V-ABCD的体积.

查看答案和解析>>

科目: 来源:2011-2012学年广东省广州市增城市高一(上)期末数学试卷(解析版) 题型:解答题

如图,△OAB是边长为2的正三角形,记△OAB位于直线x=t(t>0)左侧的图形的面积为f(t).
(1)求函数f(t)解析式;
(2)画出函数y=f(t)的图象;
(3)当函数g(t)=f(t)-at有且只有一个零点时,求a的值.

查看答案和解析>>

科目: 来源:2011-2012学年江苏省淮安市淮阴中学高三(上)期初数学试卷(解析版) 题型:填空题

设集合A={-1,2a-1,a2},B={9,5-a,4-a},A∩B={9},则实数a=   

查看答案和解析>>

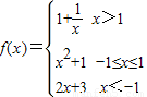
科目: 来源:2011-2012学年江苏省淮安市淮阴中学高三(上)期初数学试卷(解析版) 题型:填空题

已知,则f{f[f(-2)]}=   

查看答案和解析>>

科目: 来源:2011-2012学年江苏省淮安市淮阴中学高三(上)期初数学试卷(解析版) 题型:填空题

若函数f(x)的定义域为[0,4],则的定义域为   

查看答案和解析>>

同步练习册答案