相关习题
 0  79399  79407  79413  79417  79423  79425  79429  79435  79437  79443  79449  79453  79455  79459  79465  79467  79473  79477  79479  79483  79485  79489  79491  79493  79494  79495  79497  79498  79499  79501  79503  79507  79509  79513  79515  79519  79525  79527  79533  79537  79539  79543  79549  79555  79557  79563  79567  79569  79575  79579  79585  79593  266669 

科目: 来源:2011-2012学年甘肃省天水一中高二(上)第一次段考数学试卷(理科)(解析版) 题型:选择题

若实数a,b满足a+b=2,则3a+3b的最小值是( )
A.6
B.2
C.3
D.4

查看答案和解析>>

科目: 来源:2011-2012学年甘肃省天水一中高二(上)第一次段考数学试卷(理科)(解析版) 题型:选择题

若方程x2+ky2=2表示焦点在y轴上的椭圆,那么实数k的取值范围是( )
A.(0,+∞)
B.(0,2)
C.(1,+∞)
D.(0,1)

查看答案和解析>>

科目: 来源:2011-2012学年甘肃省天水一中高二(上)第一次段考数学试卷(理科)(解析版) 题型:选择题

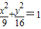
若椭圆的对称轴为坐标轴,长轴长与短轴长的和为18,焦距为6,则椭圆的方程为( )
A.
B.
C.
D.以上都不对

查看答案和解析>>

科目: 来源:2011-2012学年甘肃省天水一中高二(上)第一次段考数学试卷(理科)(解析版) 题型:选择题

直线y=x+1被椭圆x2+2y2=4所截得的弦的中点坐标是( )
A.(
B.(-
C.(,-
D.(-

查看答案和解析>>

科目: 来源:2011-2012学年甘肃省天水一中高二(上)第一次段考数学试卷(理科)(解析版) 题型:选择题

当x>1时,不等式x+恒成立,则实数a的取值范围是( )
A.(-∞,2]
B.[2,+∞)
C.[3,+∞)
D.(-∞,3]

查看答案和解析>>

科目: 来源:2011-2012学年甘肃省天水一中高二(上)第一次段考数学试卷(理科)(解析版) 题型:选择题

椭圆上的点到直线的最大距离是( )
A.3
B.
C.
D.

查看答案和解析>>

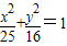
科目: 来源:2011-2012学年甘肃省天水一中高二(上)第一次段考数学试卷(理科)(解析版) 题型:选择题

椭圆=1上一点P与椭圆的两个焦点F1,F2的连线互相垂直,则△PF1F2的面积为( )
A.20
B.22
C.24
D.28

查看答案和解析>>

科目: 来源:2011-2012学年甘肃省天水一中高二(上)第一次段考数学试卷(理科)(解析版) 题型:填空题

命题?x∈R,x2-x+3>0的否定是   

查看答案和解析>>

科目: 来源:2011-2012学年甘肃省天水一中高二(上)第一次段考数学试卷(理科)(解析版) 题型:填空题

有下列四个命题:
①命题“若xy=1,则x,y互为倒数”的逆命题;
②命题“面积相等的三角形全等”的否命题;
③命题“若m≤1,则x2-2x+m=0有实根”的逆否命题;
④命题“若A∩B=B,则A⊆B”的逆否命题.
其中是真命题的是    (填上你认为正确的命题的序号).

查看答案和解析>>

科目: 来源:2011-2012学年甘肃省天水一中高二(上)第一次段考数学试卷(理科)(解析版) 题型:填空题

椭圆的左、右焦点为F1、F2,△ABF1的顶点A、B在椭圆上,且边AB经过右焦点F2,则△ABF1的周长是   

查看答案和解析>>

同步练习册答案