相关习题
 0  79455  79463  79469  79473  79479  79481  79485  79491  79493  79499  79505  79509  79511  79515  79521  79523  79529  79533  79535  79539  79541  79545  79547  79549  79550  79551  79553  79554  79555  79557  79559  79563  79565  79569  79571  79575  79581  79583  79589  79593  79595  79599  79605  79611  79613  79619  79623  79625  79631  79635  79641  79649  266669 

科目: 来源:2012-2013学年江苏省淮安市盱眙中学高一(下)期初数学试卷(解析版) 题型:填空题

如图,在平面直角坐标系xoy中,A1,A2,B1,B2为椭圆的四个顶点,F为其右焦点,直线A1B2与直线B1F相交于点T,线段OT与椭圆的交点M恰为线段OT的中点,则该椭圆的离心率为   

查看答案和解析>>

科目: 来源:2012-2013学年江苏省淮安市盱眙中学高一(下)期初数学试卷(解析版) 题型:解答题

一个袋子内装有若干个黑球,3个白球,2个红球(所有的球除颜色外其它均相同),从中任取2个球,每取得一个黑球得0分,每取一个白球得1分,每取一个红球得2分,已知得0分的概率为,用随机变量X表示取2个球的总得分.
(Ⅰ)求袋子内黑球的个数;
(Ⅱ)求X的分布列.

查看答案和解析>>

科目: 来源:2012-2013学年江苏省淮安市盱眙中学高一(下)期初数学试卷(解析版) 题型:解答题

一个四棱锥的直观图和三视图如图所示:
(1)求证:DA⊥PD;
(2)若M为PB的中点,证明:直线CM∥平面PDA;
(3)若PB=1,求三棱锥A-PDC的体积.

查看答案和解析>>

科目: 来源:2012-2013学年江苏省淮安市盱眙中学高一(下)期初数学试卷(解析版) 题型:解答题

设函数f(x)=(1+x)2+ln(1+x)2
(1)求f(x)的单调区间;
(2)若当x∈[-1,e-1]时,不等式f(x)<m恒成立,求实数m的取值范围;
(3)若关于x的方程f(x)=x2+x+a在区间[0,2]上恰好有两个相异的实根,求实数a的取值范围.

查看答案和解析>>

科目: 来源:2012-2013学年江苏省淮安市盱眙中学高一(下)期初数学试卷(解析版) 题型:解答题

在平面直角坐标系xOy中,点A(-1,-2)、B(2,3)、C(-2,-1).
(1)求以线段AB、AC为邻边的平行四边形两条对角线的长;
(2)设实数t满足()•=0,求t的值.

查看答案和解析>>

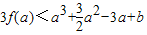
科目: 来源:2012-2013学年江苏省淮安市盱眙中学高一(下)期初数学试卷(解析版) 题型:解答题

已知函数f(x)=(x2-a)ex
(I)若a=3,求f(x)的单调区间;
(II)已知x1,x2是f(x)的两个不同的极值点,且|x1+x2|≥|x1x2|,若恒成立,求实数b的取值范围.

查看答案和解析>>

科目: 来源:2012-2013学年江苏省淮安市盱眙中学高一(下)期初数学试卷(解析版) 题型:解答题

如图,已知圆G:x2+y2-2x-y=0经过椭圆的右焦点F及上顶点B.过点M(m,0)作倾斜角为的直线l交椭圆于C、D两点.
(1)求椭圆的方程;
(2)若点Q(1,0)恰在以线段CD为直径的圆的内部,求实数m范围.

查看答案和解析>>

科目: 来源:2010-2011学年江苏省淮安市南陈集中学高三(上)期中数学试卷(解析版) 题型:填空题

已知集合A={x|x≤1},B={x|x≥a},且A∪B=R,则实数a的取值范围是   

查看答案和解析>>

科目: 来源:2010-2011学年江苏省淮安市南陈集中学高三(上)期中数学试卷(解析版) 题型:填空题

如果cosα=,且α是第四象限的角,那么=   

查看答案和解析>>

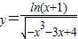
科目: 来源:2010-2011学年江苏省淮安市南陈集中学高三(上)期中数学试卷(解析版) 题型:填空题

函数的定义域为   

查看答案和解析>>

同步练习册答案