相关习题
 0  79464  79472  79478  79482  79488  79490  79494  79500  79502  79508  79514  79518  79520  79524  79530  79532  79538  79542  79544  79548  79550  79554  79556  79558  79559  79560  79562  79563  79564  79566  79568  79572  79574  79578  79580  79584  79590  79592  79598  79602  79604  79608  79614  79620  79622  79628  79632  79634  79640  79644  79650  79658  266669 

科目: 来源:2009-2010学年湖南省长沙市长郡中学高一(上)第一次月考数学试卷(解析版) 题型:选择题

定义域为R的函数f(x)满足条件:

②f(x)+f(-x)=0(x∈R); 
③f(-3)=0.
则不等式x•f(x)<0的解集是( )
A.{x|-3<x<0或x>3}
B.{x|x<-3或0≤x<3}
C.{x|x<-3或x>3}
D.{x|-3<x<0或0<x<3}

查看答案和解析>>

科目: 来源:2009-2010学年湖南省长沙市长郡中学高一(上)第一次月考数学试卷(解析版) 题型:填空题

当a>0且a≠1时,函数f(x)=ax-2-3必过定点   

查看答案和解析>>

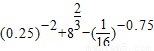
科目: 来源:2009-2010学年湖南省长沙市长郡中学高一(上)第一次月考数学试卷(解析版) 题型:填空题

计算:=   

查看答案和解析>>

科目: 来源:2009-2010学年湖南省长沙市长郡中学高一(上)第一次月考数学试卷(解析版) 题型:填空题

已知函数y=f(x+1)定义域是[-2,3],则y=f(2x-1)的定义域是    

查看答案和解析>>

科目: 来源:2009-2010学年湖南省长沙市长郡中学高一(上)第一次月考数学试卷(解析版) 题型:填空题

定义集合运算:A*B={z|z=xy,x∈A,y∈B}.设A={1,2},B={0,2},则集合A*B的所有元素之和为   

查看答案和解析>>

科目: 来源:2009-2010学年湖南省长沙市长郡中学高一(上)第一次月考数学试卷(解析版) 题型:填空题

函数y=22x-2x+2+7,定义域为[m,n],值域为[3,7],则n+m的最大值   

查看答案和解析>>

科目: 来源:2009-2010学年湖南省长沙市长郡中学高一(上)第一次月考数学试卷(解析版) 题型:解答题

已知集合A={x|2≤x≤8},B={x|1<x<6},C={x|x>a},U=R.
(1)求A∪B;
(2)求(∁UA)∩B;
(3)如果A∩C≠∅,求a的取值范围.

查看答案和解析>>

科目: 来源:2009-2010学年湖南省长沙市长郡中学高一(上)第一次月考数学试卷(解析版) 题型:解答题

某公司要将一批不易存放的蔬菜从A地运到B地,有汽车、火车两种运输工具可供选择,两种运输工具的主要参考数据如表:
运输工具途中速度(km/h)途中费用(元/km)装卸时间(h)装卸费用(元)
汽车50821000
火车100442000
若这批蔬菜在运输过程(含装卸时间)中损耗为300元/h,设A、B两地距离为xkm
(1)设采用汽车与火车运输的总费用分别为f(x)与g(x),求f(x)与g(x);
(2)试根据A、B两地距离大小比较采用哪种运输工具比较好(即运输总费用最小).
(注:总费用=途中费用+装卸费用+损耗费用)

查看答案和解析>>

科目: 来源:2009-2010学年湖南省长沙市长郡中学高一(上)第一次月考数学试卷(解析版) 题型:解答题

函数
(1)若f(x)的定义域为R,求实数a的取值范围;
(2)若f(x)的定义域为[-2,1],求实数a的值.

查看答案和解析>>

科目: 来源:2009-2010学年湖南省长沙市长郡中学高一(上)第一次月考数学试卷(解析版) 题型:解答题

已知函数
(Ⅰ)当时,利用函数单调性的定义判断并证明f(x)的单调性,并求其值域;
(Ⅱ)若对任意x∈[1,+∞),f(x)>0,求实数a的取值范围.

查看答案和解析>>

同步练习册答案