相关习题
 0  79476  79484  79490  79494  79500  79502  79506  79512  79514  79520  79526  79530  79532  79536  79542  79544  79550  79554  79556  79560  79562  79566  79568  79570  79571  79572  79574  79575  79576  79578  79580  79584  79586  79590  79592  79596  79602  79604  79610  79614  79616  79620  79626  79632  79634  79640  79644  79646  79652  79656  79662  79670  266669 

科目: 来源:2011-2012学年北京50中高一(上)期中数学试卷(解析版) 题型:选择题

函数y=0.3|x|(x∈R)的值域是( )
A.R+
B.{y|y≤1}
C.{y|y≥1}
D.{y|0<y≤1}

查看答案和解析>>

科目: 来源:2011-2012学年北京50中高一(上)期中数学试卷(解析版) 题型:选择题

若函数y=f(x)的定义域为(0,2),则函数y=f(-2x)的定义域是( )
A.(0,2)
B.(-1,0)
C.(-4,0)
D.(0,4)

查看答案和解析>>

科目: 来源:2011-2012学年北京50中高一(上)期中数学试卷(解析版) 题型:选择题

若logm9<logn9<0,那么m,n满足的条件是( )
A.m>n>1
B.n>m>1
C.0<n<m<1
D.0<m<n<1

查看答案和解析>>

科目: 来源:2011-2012学年北京50中高一(上)期中数学试卷(解析版) 题型:选择题

图中的图象所表示的函数的解析式为( )
A.y=|x-1|(0≤x≤2)
B.y=-|x-1|(0≤x≤2)
C.y=-|x-1|(0≤x≤2)
D.y=1-|x-1|(0≤x≤2)

查看答案和解析>>

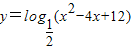
科目: 来源:2011-2012学年北京50中高一(上)期中数学试卷(解析版) 题型:选择题

已知函数( )
A.(-∞,-3)
B.(-∞,-1)
C.(1,+∞)
D.(0,1)

查看答案和解析>>

科目: 来源:2011-2012学年北京50中高一(上)期中数学试卷(解析版) 题型:选择题

已知函数f(x)=|lgx|,0<a<b,且f(a)>f(b),则( )
A.ab>1
B.ab=1
C.ab<1
D.b<1

查看答案和解析>>

科目: 来源:2011-2012学年北京50中高一(上)期中数学试卷(解析版) 题型:填空题

函数y=log(x-1)(3-x)的定义域是    

查看答案和解析>>

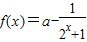
科目: 来源:2011-2012学年北京50中高一(上)期中数学试卷(解析版) 题型:填空题

已知函数,若f(x)为奇函数,则a=   

查看答案和解析>>

科目: 来源:2011-2012学年北京50中高一(上)期中数学试卷(解析版) 题型:填空题

lg25+lg2•lg50+(lg2)2=   

查看答案和解析>>

科目: 来源:2011-2012学年北京50中高一(上)期中数学试卷(解析版) 题型:填空题

函数的值域为   

查看答案和解析>>

同步练习册答案