相关习题
 0  79495  79503  79509  79513  79519  79521  79525  79531  79533  79539  79545  79549  79551  79555  79561  79563  79569  79573  79575  79579  79581  79585  79587  79589  79590  79591  79593  79594  79595  79597  79599  79603  79605  79609  79611  79615  79621  79623  79629  79633  79635  79639  79645  79651  79653  79659  79663  79665  79671  79675  79681  79689  266669 

科目: 来源:2012-2013学年河北省保定市高二(上)12月月考数学试卷(文科)(解析版) 题型:选择题

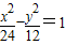
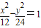
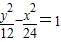
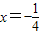
焦点为(0,6),且与双曲线有相同的渐近线的双曲线方程是( )
A.
B.
C.
D.

查看答案和解析>>

科目: 来源:2012-2013学年河北省保定市高二(上)12月月考数学试卷(文科)(解析版) 题型:选择题

若椭圆的短轴为AB,它的一个焦点为F1,则满足△ABF1为等边三角形的椭圆的离心率是( )
A.
B.
C.
D.

查看答案和解析>>

科目: 来源:2012-2013学年河北省保定市高二(上)12月月考数学试卷(文科)(解析版) 题型:选择题

已知函数f(x)=-x3+ax2-x-1在(-∞,+∞)上是单调函数,则实数a的取值范围是( )
A.
B.
C.
D.

查看答案和解析>>

科目: 来源:2012-2013学年河北省保定市高二(上)12月月考数学试卷(文科)(解析版) 题型:选择题

对于R上可导的任意函数f(x),若满足(x-1)f′(x)≥0,则必有( )
A.f(0)+f(2)<2f(1)
B.f(0)+f(2)≤2f(1)
C.f(0)+f(2)≥2f(1)
D.f(0)+f(2)>2f(1)

查看答案和解析>>

科目: 来源:2012-2013学年河北省保定市高二(上)12月月考数学试卷(文科)(解析版) 题型:填空题

某校对全校男女学生共1600名进行健康调查,选用分层抽样法抽取一个容量为200的样本.已知女生比男生少抽了10人,则该校的女生人数应是    人.

查看答案和解析>>

科目: 来源:2012-2013学年河北省保定市高二(上)12月月考数学试卷(文科)(解析版) 题型:填空题

已知抛物线的准线方程是,则它的标准方程是   

查看答案和解析>>

科目: 来源:2012-2013学年河北省保定市高二(上)12月月考数学试卷(文科)(解析版) 题型:填空题

函数f(x)=x+的单调减区间为   

查看答案和解析>>

科目: 来源:2012-2013学年河北省保定市高二(上)12月月考数学试卷(文科)(解析版) 题型:填空题

已知函数f(x)=f′()cosx+sinx,则f()的值为   

查看答案和解析>>

科目: 来源:2012-2013学年河北省保定市高二(上)12月月考数学试卷(文科)(解析版) 题型:解答题

已知函数f(x)=x3+x-16,
(1)求曲线y=f(x)在点(2,-6)处的切线的方程.
(2)如果曲线y=f(x)的某一切线与直线y=-x+3垂直,求切点坐标与切线的方程.

查看答案和解析>>

科目: 来源:2012-2013学年河北省保定市高二(上)12月月考数学试卷(文科)(解析版) 题型:解答题

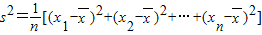
以下茎叶图记录了甲、乙两组四名同学的植树棵数.乙组记录中有一个数据模糊,无法确认,在图中以X表示.
(1)如果X=8,求乙组同学植树棵树的平均数和方差;
(2)如果X=9,分别从甲、乙两组中随机选取一名同学,求这两名同学的植树总棵树为17的概率.
(注:方差,其中为x1,x2,…,xn的平均数)

查看答案和解析>>

同步练习册答案